Orden ECO/805/2003. Tasación de inmuebles
7253 ORDEN ECO/805/2003, de 27 de marzo, sobre normas de valoración de bienes inmuebles y de determinados derechos para ciertas finalidades financieras.
La presente Orden establece normas para el cálculo del valor de tasación de bienes inmuebles y de determinados derechos reales para las finalidades contempladas en su ámbito de aplicación, así como para la elaboración de informes y certificados en los que se formalizará. Dichas normas pretenden, continuando en la línea del Real Decreto 775/1997, de 30 de mayo, sobre el régimen jurídico de homologación de los servicios y
sociedades de tasación, potenciar la calidad técnica y formal de las valoraciones con el objetivo último de proteger más y mejor los intereses de terceros en su condición de inversores o asegurados. Conviene recordar que la presente Orden no contiene ninguna disposición de tipo subjetivo relacionada con la capacidad para tasar ni para designar al tasador, la cual se rige por las normas reglamentarias correspondientes según la
finalidad de la tasación.
El cálculo y formalización del valor de tasación estaba regulado por Orden de 30 de noviembre de 1994 sobre normas de valoración de bienes inmuebles para determinadas entidades financieras. Esta disposición, que ahora se deroga, era el último exponente de una regulación cuyo origen es la Ley de la Regulación del Mercado Hipotecario. La Orden de 1994 ha contribuido de forma decisiva a perfeccionar el
funcionamiento del mercado de tasación para finalidades financieras. No obstante, se ha considerado aconsejable su sustitución por un nuevo texto. Los motivos para este cambio normativo son básicamente tres:
a) La aclaración terminológica de algunos aspectos relacionados con la valoración de bienes inmuebles para la finalidad hipotecaria y de fondos de pensiones.
Algunos desarrollos recientes en el ámbito europeo tienden a diferenciar valor de mercado (el valor en un momento del tiempo) y valor hipotecario (el valor sostenible en el tiempo). Aunque formalmente la Orden de 1994 basaba el cálculo del valor de tasación
en el valor de mercado, la obligación de utilizar una metodología estricta y rigurosa basada en el principio de prudencia conducía al cálculo de un valor de tasación equiparable al valor hipotecario. Para subsanar este problema más formal que material se ha introducido en la Orden el valor hipotecario como base para la obtención del valor de tasación de bienes inmuebles para las finalidades hipotecaria y de fondos de pensiones, haciendo explícitas algunas prácticas destinadas a respetar el principio de prudencia.
En todo caso, debe subrayarse que estas modificaciones no suponen en modo alguno una ruptura en las normas de cálculo del valor de tasación, sino tan sólo un ajuste aclaratorio inscrito en la voluntad general de continuidad que inspira la Orden.
b) La adaptación del cálculo del valor de tasación y su formalización a la legislación aprobada recientemente. En efecto desde la entrada en vigor de la Orden de 1994 se han aprobado nuevas normas que afectan directa o indirectamente a la misma.
Entre ellas destacan la Ley 6/1998, de 13 de abril, sobre régimen del suelo y valoraciones, la Ley 46/1998, de 17 de diciembre, sobre introducción del euro, el Real Decreto Ley 14/1999, de 17 de septiembre, sobre firma electrónica, el Real Decreto 2486/1998, de 20 de noviembre, por el que se aprueba el Reglamento de Ordenación y supervisión de los seguros privados y el Real Decreto 845/1999, de 21 de mayo, de modificación parcial del Real Decreto 1393/1990, de 2 de noviembre, por el que se aprueba el Reglamento de la Ley 46/1984, de 26 de diciembre, reguladora de las instituciones de inversión colectiva en relación con las sociedades y fondos de inversión inmobiliarias y se disponen otras medidas financieras.
c) La introducción de las mejoras de tipo técnico y formal fruto de la experiencia en la aplicación práctica de la Orden de 1994, tanto por parte de los organismos supervisores como de las entidades y de las sociedades y servicios de tasación.
La Orden consta de 88 artículos, cinco disposiciones adicionales, una disposición transitoria, una disposición derogatoria y tres disposiciones finales. Los artículos se estructuran en cuatro títulos y éstos en capítulos y secciones.
El Título I contiene las disposiciones generales: el ámbito, principios y definiciones; las comprobaciones mínimas y documentación disponible; los
condicionantes y advertencias, tanto generales como específicas, y en general todas aquellas cuestiones que el tasador ha de tener en cuenta tanto en el ámbito técnico como en el formal.
El Título II contiene las disposiciones técnicas encaminadas a la determinación del valor de tasación de los distintos objetos de valoración y para las distintas finalidades. Para ello se regulan los distintos métodos técnicos de valoración y la valoración de los distintos bienes y derechos. Todo su contenido está basado en el principio de prudencia y el principio de sostenibilidad para aquellos valores con efectos a lo largo del tiempo.
El Título III contiene las disposiciones formales encaminadas a la elaboración del informe y certificado en los que se formalizará el correspondiente valor de tasación. Para ello se establece una única estructura con una serie de apartados mínimos que el tasador tendrá que cumplimentar según cual sea el objeto de la valoración. Todo su contenido está basado en el principio de transparencia en el sentido de que los documentos y datos manejados por el tasador para el cálculo de los valores han de estar a disposición del
supervisor correspondiente.
El Titulo IV contiene una serie de disposiciones cuyo ámbito de aplicación se limita a la valoración para la cobertura de las provisiones técnicas de las entidades aseguradoras y para la determinación del patrimonio de las instituciones de inversión colectiva inmobiliarias.
La presente Orden se dicta en uso de las habilitaciones normativas señaladas en el artículo 37.4 del Real Decreto 685/1982, de 17 de marzo, por el que se desarrollan determinados aspectos de la Ley 2/1981, de 25 de marzo, de regulación del mercado hipotecario; el artículo 74.5 del Reglamento de la Ley 46/1984, de 26 de diciembre, reguladora de las instituciones de inversión colectiva, aprobado por Real Decreto 1393/1990, de 2 de noviembre (según la redacción dada en el Real Decreto 686/1993, de 7 de mayo); el artículo 50.10 del Reglamento de Ordenación y Supervisión de los
Seguros Privados (aprobado por Real Decreto 2486/1998, de 20 de noviembre) y el artículo 37.1 del Reglamento de Planes y Fondos de Pensiones (aprobado por el Real Decreto 1307/1988, de 30 de septiembre), En su virtud, dispongo:
TÍTULO I
Disposiciones generales
CAPÍTULO I
Ámbito, principios y definiciones
Artículo 1. Objeto.
La presente Orden tiene por objeto la regulación del régimen jurídico al que ha de ajustarse el cálculo del valor de tasación de bienes inmuebles y determinados derechos, así como la elaboración de los informes y certificados en los que se formalice, siempre que dicho cálculo se realice para alguna de las finalidades integrantes de su ámbito de aplicación.
Artículo 2. Ámbito de aplicación.
La presente Orden será de aplicación siempre que el valor de tasación se utilice para alguna de las finalidades siguientes:
a) Garantía hipotecaria de créditos o préstamos que formen o vayan a formar parte de la cartera de cobertura de títulos hipotecarios emitidos por las entidades, promotores y constructores a que se refiere el artículo segundo del Real Decreto 685/1982, de 17 de marzo, por el que se desarrollan determinados aspectos de la Ley 2/1981, de 25 de marzo, de Regulación del Mercado Hipotecario.
b) Cobertura de las provisiones técnicas de las entidades aseguradoras exigida en el Real Decreto 2486/1998, de 20 de noviembre, por el que se aprueba el Reglamento de Ordenación y Supervisión de los Seguros Privados.
c) Determinación del patrimonio de las instituciones de inversión colectiva inmobiliarias reguladas en el Real Decreto 1393/1990, de 2 de noviembre, por el que se aprueba el Reglamento de la Ley 46/1984, de 26 de diciembre, reguladora de las Instituciones de Inversión Colectiva.
d) Determinación del patrimonio inmobiliario de los Fondos de Pensiones regulados en el Real Decreto 1307/1988, de 30 de septiembre, por el que se aprueba el Reglamento de Planes y Fondos de Pensiones.
Artículo 3. Principios.
1. Las entidades de crédito que dispongan de servicios de tasación y las sociedades de tasación homologadas cuando valoren para cualesquiera de las finalidades integradas en el ámbito de aplicación de la presente Orden deberán hacerlo aplicando, en los términos establecidos en la misma, los siguientes principios:
a) Principio de anticipación, según el cual el valor de un inmueble que se encuentre en explotación económica es función de las expectativas de
renta que previsiblemente proporcionará en el futuro.
b) Principio de finalidad según el cual la finalidad de la valoración condiciona el método y las técnicas de valoración a seguir. Los criterios y
métodos de valoración utilizados serán coherentes con la finalidad de la valoración.
c) Principio de mayor y mejor uso, según el cual el valor de un inmueble susceptible de ser dedicado a diferentes usos será el que resulte de
destinarlo, dentro de las posibilidades legales y físicas, al económicamente más aconsejable, o si es susceptible de ser construido con distintas
intensidades edificatorias, será el que resulte de construirlo, dentro de las posibilidades legales y físicas, con la intensidad que permita obtener su mayor valor.
d) Principio de probabilidad, según el cual ante varios escenarios o posibilidades de elección razonables se elegirán aquellos que se estimen
más probables.
e) Principio de proporcionalidad, según el cual los informes de tasación se elaborarán con la amplitud adecuada teniendo en cuenta la importancia y
uso del objeto de valoración, así como su singularidad en el mercado.
f) Principio de prudencia, según el cual, ante varios escenarios o posibilidades de elección igualmente probables se elegirá el que dé como
resultado un menor valor de tasación.
Este principio será de aplicación obligatoria cuando el valor de tasación se utilice para alguna de las finalidades señaladas en el artículo 2.a), b) y d) de esta Orden.
g) Principio de sustitución, según el cual el valor de un inmueble es equivalente al de otros activos de similares características sustitutivos de
aquél.
h) Principio de temporalidad, según el cual el valor de un inmueble es variable a lo largo del tiempo.
i) Principio de transparencia, según el cual el informe de valoración de un inmueble deberá contener la información necesaria y suficiente para su
fácil comprensión y detallar las hipótesis y documentación utilizadas.
j) Principio del valor residual, según el cual el valor atribuible a cada uno de los factores de producción de un inmueble será la diferencia entre el valor total de dicho activo y los valores atribuibles al resto de los factores.
2. Los principios recogidos en el apartado anterior se utilizarán como criterios de interpretación y, en su caso, de integración de las normas de la presente Orden.
Artículo 4. Definiciones.
A los efectos de la presente Orden se utilizarán las siguientes definiciones:
Actualización de una tasación. Es toda revisión de una tasación anterior, emitida por la misma entidad tasadora antes de transcurrir dos años desde su fecha de emisión, en la que con referencia a la tasación anterior, se modifiquen las advertencias, los condicionantes o cualquiera de los valores que figuren en ella. Este plazo será de tres años para la finalidad contemplada en el artículo 2.b) (Ámbito de aplicación), conforme a
lo establecido en el artículo 84.1 de esta Orden. Antigüedad. Es el número de años transcurridos entre la fecha de construcción de
un inmueble o la de la última rehabilitación integral del mismo, y la fecha de la valoración.
Comparables. Son inmuebles que se consideran similares al inmueble objeto de valoración o adecuados para aplicar la homogeneización, teniendo en cuenta su localización, uso, tipología, superficie, antigüedad, estado de conservación, u otra
característica física relevante a dicho fin.
Compromiso de compra a plazo de inmuebles. Es un contrato en virtud del cual los contratantes se comprometen a la compraventa de un inmueble, a un precio predeterminado, y en una fecha concreta.
Depreciación física. Es la pérdida que experimenta el valor de reemplazamiento bruto (VRB) de un bien en función de su antigüedad, estado de conservación y duración de sus componentes.
Depreciación funcional. Es la pérdida que experimenta el valor de reemplazamiento bruto (VRB) de un bien atendiendo a su defectuosa adaptación a la
función a que se destina. Comprende las pérdidas producidas en el inmueble por obsolescencia, diseño, falta de adaptación a su uso, etc.
Edificio. Es cualquier tipo de construcción, sólida, durable y apta para albergar uno o varios espacios destinados al desarrollo de cualquier actividad.
Edificio destinado a uso determinado (residencial, de oficinas, etcétera). Es todo edificio en el que la superficie sobre rasante destinada a un uso determinado es igual o superior a dos tercios de la superficie total sobre rasante del mismo.
Edificio en construcción. Es toda obra de nueva edificación iniciada y no terminada que cuente con la correspondiente licencia y se realice de acuerdo con un proyecto visado por el colegio profesional correspondiente.
Edificio en proyecto. Es cualquier tipo de construcción (obra nueva o rehabilitación) que se realizará sobre un terreno o finca determinada con arreglo a un proyecto visado por el colegio profesional correspondiente. A estos efectos, se entenderán como obras de rehabilitación las que cumplan los requisitos señalados en la definición de inmueble en rehabilitación.
Elementos comunes de un edificio. Son todos aquellos espacios que, no siendo de uso privativo, deban ser tenidos en cuenta a efectos de cómputo de superficie.
Elemento de un edificio. Es toda unidad física, funcional o registral, que forme parte de un edificio compuesto por más unidades destinadas al mismo u otros usos y que sea susceptible de venta individualizada.
Elementos especulativos. Son aquellos datos, ofertas o escenarios que aun siendo relevantes para la determinación del valor de mercado traigan causa, bien de un comportamiento ligado a la intención de un operador de beneficiarse a corto plazo con las fluctuaciones en los precios de los activos inmobiliarios, bien de expectativas de cambio de uso o edificabilidad, bien de otros factores extraordinarios (tales como nuevas
infraestructuras o inversiones que impliquen una revalorización de los inmuebles) cuya presencia futura no esté asegurada.
Entidad tasadora. Las sociedades de tasación homologadas e inscritas en el
Registro Especial del Banco de España, así como, respecto a las valoraciones que tengan como finalidad la mencionada en la letra a) del artículo 2, los servicios de tasación de entidades de crédito homologados e inscritos en el Registro Especial del Banco de
España.
Entorno. Es el espacio de adecuada amplitud y con características homogéneas tanto físicas como estructurales en el cual se ubica el inmueble objeto de valoración.
Finca rústica. Aquel terreno de nivel urbanístico II que se dedique o pueda dedicarse al desarrollo de una actividad agraria.
Homogeneización de precios de inmuebles comparables. Es un procedimiento por el cual se analizan las características del inmueble que se tasa en relación con otros comparables, con el objeto de deducir, por comparación entre sus similitudes y diferencias, un precio de compraventa o una renta homogeneizada para aquél.
Infraestructuras exteriores del terreno. Son las necesarias para dotar al terreno de los servicios urbanísticos exigidos para su consideración como suelo urbano de acuerdo con la legislación sobre régimen del suelo y ordenación urbana.
Inmueble en rehabilitación. Es todo edificio o elemento de edificio en el que se hayan iniciado obras que reúnan los siguientes requisitos:
a) Que cuenten con la correspondiente licencia.
b) Que se realicen de acuerdo con un proyecto visado por el colegio profesional correspondiente.
c) Que alterando o no sus elementos estructurales impliquen el acondicionamiento de al menos el 50 por 100 de su superficie edificada antes del inicio de las obras.
A estos efectos se considerarán como obras de acondicionamiento las destinadas a mejorar las condiciones de habitabilidad de un edificio
mediante la sustitución, restauración o modernización de sus diferentes elementos constructivos e instalaciones, y las que tengan por objeto alterar sustancialmente la morfología de la edificación, amplíen o no la superficie edificada.
d) Que el coste presupuestado de las obras alcance al menos el 50 por 100 del valor de reemplazamiento bruto de la edificación (excluido el valor del terreno).
Cuando la valoración se refiera a un edificio completo y se esté procediendo a su reforma parcial, la definición precedente podrá aplicarse a la parte afectada por las obras cuando éstas alcancen al menos una planta completa.
Inmueble ligado a una actividad económica. Es todo edificio, o elemento de edificio, de uso monovalente que está o puede estar vinculado a una explotación económica. Entre otros se incluirán los siguientes tipos:
a) Edificios e instalaciones industriales, fabriles y de producción agraria.
b) Centros de transporte, aparcamientos y edificaciones o instalaciones ligadas al servicio de transporte.
c) Inmuebles hoteleros, en sus diversas categorías y tipologías.
d) Hospitales y otras instalaciones de carácter sanitario.
e) Instalaciones recreativas, deportivas y de espectáculos.
f) Centros de enseñanza y otras instalaciones culturales.
g) Centros de equipamiento social.
h) Residencias estudiantiles, para la tercera edad o similares.
Instalaciones polivalentes. Son las instalaciones que, habiendo sido concebidas o
instaladas para un uso concreto, permitan, a juicio del tasador, su utilización para otros permitidos.
En ningún caso se entenderán como instalaciones polivalentes aquéllas con características y elementos constructivos que limiten o dificulten usos distintos a los existentes, como son las cámaras acorazadas; cámaras frigoríficas; instalaciones de lavandería, cocina y de servicios específicos en establecimientos de hostelería.
Localidad. Es el núcleo urbano en el que se encuentra el inmueble objeto de valoración.
Mercado local. El inmobiliario del entorno urbano o rural homogéneo (barrio, pedanía, localidad, comarca) donde se encuentre el inmueble (edificio, elemento de edificio, finca rústica o terreno), o, cuando su uso o características no permitan disponer de comparables en dicha área, el mercado inmobiliario sectorial (oficinas, centros comerciales, hoteles, explotación agraria del cultivo dominantes correspondiente) siempre que resulte representativo para su comparación dentro del territorio nacional.
Niveles urbanísticos del terreno. A efectos de su tasación los terrenos se clasificaran en los siguientes niveles:
Nivel I. Incluirá todos los terrenos que no pertenezcan al Nivel II.
Nivel II. Incluirá los terrenos clasificados como no urbanizables en los que no se permita edificar para usos diferentes a su naturaleza agrícola,
forestal, ganadera o que estén ligados a una explotación económica permitida por la normativa vigente.
También se incluirán los terrenos clasificados como urbanizables que no estén incluidos en un ámbito de desarrollo del planeamiento urbanístico o que estándolo, no se hayan definido en él las condiciones para su desarrollo.
Opción de compra. Es un contrato en virtud del cual un vendedor otorga el derecho a comprar un inmueble, a un precio predeterminado, y en una fecha o plazo concreto.
Protección pública. Es cualquier régimen legal que limite el precio de venta o alquiler del inmueble objeto de valoración.
Suelo urbano, suelo no urbanizable, suelo urbanizable.
Se utilizarán las definiciones establecidas en la legislación vigente sobre régimen del suelo y ordenación urbanística.
Superficie comprobada. Es el área medida por el tasador teniendo en cuenta las definiciones de superficie útil o construida y el correspondiente plano acotado.
Superficie construida con partes comunes. Es la superficie construida sin partes comunes más la parte proporcional que le corresponda según su cuota en la superficie de los elementos comunes del edificio.
Superficie construida sin partes comunes. Es la superficie útil, sin excluir la superficie ocupada por los elementos interiores mencionados en dicha definición e incluyendo los cerramientos exteriores al 100 por 100 o al 50 por 100, según se trate, respectivamente, de cerramientos de fachada o medianeros, o de cerramientos compartidos con otros elementos del mismo edificio. Superficie útil. Es la superficie del suelo delimitado por el perímetro definido por la cara interior de los cerramientos externos de un edificio o de un elemento de un edificio, incluyendo la mitad de la superficie del suelo de sus espacios exteriores de uso privativo cubiertos (tales como terrazas, balcones y tendederos, porches, muelles de carga, voladizos, etc.), medida sobre la proyección horizontal de su cubierta.
No se considerará superficie útil la superficie ocupada en planta por cerramientos interiores fijos, por los elementos estructurales verticales, y por las canalizaciones o conductos con sección horizontal superior a los 100 centímetros cuadrados y la superficie del suelo cuya altura libre sea inferior a 1,5 metros.
Tampoco se considerará superficie útil la ocupada por los espacios exteriores no cubiertos.
Superficie utilizable o computable. Es la superficie utilizada en las tasaciones para determinar los valores técnicos.
Tasador. El profesional que, de conformidad con lo previsto en las normas aplicables a cada tipo de tasación debe suscribir necesariamente el informe de tasación.
Valor de mercado o venal de un inmueble (VM). Es el precio al que podría venderse el inmueble, mediante contrato privado entre un vendedor voluntario y un comprador independiente en la fecha de la tasación en el supuesto de que el bien se hubiere ofrecido públicamente en el mercado, que las condiciones del mercado permitieren disponer del mismo de manera ordenada y que se dispusiere de un plazo
normal, habida cuenta de la naturaleza del inmueble, para negociar la venta.
A tal efecto se considerará:
a) Que entre vendedor y comprador no debe existir vinculación previa alguna, y que ninguno de los dos tiene un interés personal o profesional en
la transacción ajeno a la causa del contrato.
b) Que la oferta pública al mercado conlleva tanto la realización de una comercialización adecuada al tipo de bien de que se trate, como la
ausencia de información privilegiada en cualquiera de las partes intervinientes.
c) Que el precio del inmueble es consecuente con la oferta pública citada y que refleja en una estimación razonable el precio (más probable) que se
obtendría en las condiciones del mercado existentes en la fecha de la tasación.
d) Los impuestos no se incluirán en el precio. Tampoco se incluirán los gastos de comercialización.
Valor del inmueble para la hipótesis de edificio terminado. Es el valor que previsiblemente podrá alcanzar un edificio en proyecto, construcción o rehabilitación en la fecha de su terminación, si se construye en los plazos estimados y con las características técnicas contenidas en su proyecto de edificación o rehabilitación.
Valor de reemplazamiento (VR) o coste de reemplazamiento o de reposición puede ser: bruto o a nuevo y neto o actual.
El valor de reemplazamiento bruto o a nuevo (VRB) de un inmueble es la suma de las inversiones que serían necesarias para construir, en la fecha de la valoración, otro inmueble de las mismas características (capacidad, uso, calidad, etc.) pero utilizando tecnología y materiales de construcción actuales.
El valor de reemplazamiento neto o actual (VRN) es el resultado de deducir del VRB la depreciación física y funcional del inmueble en la fecha de la valoración.
Valor de tasación (VT). Es el valor que la presente Orden establece como tal para cada tipo de inmueble o derecho a valorar. Dicho valor será el valor jurídico o con efectos jurídicos para las finalidades integrantes del ámbito de aplicación de la misma.
Valor hipotecario o valor a efecto de crédito hipotecario (VH). Es el valor del inmueble determinado por una tasación prudente de la posibilidad futura de comerciar con el inmueble, teniendo en cuenta los aspectos duraderos a largo plazo de la misma, las condiciones del mercado normales y locales, su uso en el momento de la tasación y sus usos alternativos correspondientes.
En la determinación a que se refiere el apartado anterior no se incluirán los elementos especulativos.
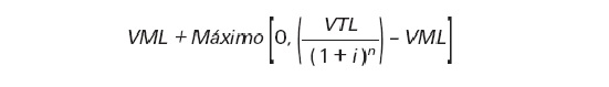
Valor máximo legal (VML). Es el precio máximo de venta de una vivienda sujeta a protección pública establecido en la normativa específica que le sea aplicable.
Valor por comparación, valor por actualización, valor residual. Es el valor obtenido mediante la aplicación de los métodos técnicos de comparación, actualización de rentas y residual respectivamente.
Valoración intermedia de obra. Es cualquiera de las valoraciones que se emiten con posterioridad a la tasación inicial y durante la construcción o rehabilitación de un elemento o edificio, en los que se refleja el avance de las obras y el porcentaje de la obra ejecutada y cualquiera otra circunstancia de la construcción que pueda afectar al valor de tasación. Su emisión no implica la actualización de los valores contenidos en la valoración inicial.
Vivienda para primera residencia. Es aquélla que por sus características y ubicación tenga como destino más probable su uso como vivienda habitual,
independientemente de su destino actual.
Vivienda para segunda residencia. Es aquélla que por sus características y ubicación tenga como destino más probable su uso como residencia temporal, independientemente de su destino actual.
Vida útil. Es el plazo durante el cual un inmueble estará en condiciones de ser usado para el fin a que se destina.
Será total si se calcula desde el momento de la construcción o última rehabilitación integral y será residual si se calcula desde la fecha de la tasación.
Artículo 5. Superficie utilizable o computable.
1. Para calcular el valor de un edificio o de un elemento de un edificio se utilizará siempre la superficie comprobada por el tasador. Además se deberán tener en cuenta las especificaciones siguientes:
a) Cuando no sea posible comprobar la superficie del edificio o elemento del edificio, se utilizará su superficie registral.
b) En el caso de elementos de edificios en los que se haya podido comprobar la superficie útil o la construida sin partes comunes, podrá
también utilizarse la superficie registral con partes comunes, aun cuando esta última no haya podido ser comprobada, siempre que exista una
dificultad operativa especial para la comprobación debidamente justificada por el tasador, no exista duda razonable sobre la naturaleza de dicha
superficie registral y la relación entre ésta y la superficie comprobada sea razonable a juicio del tasador.
c) Cuando la superficie comprobada sea superior a la registral o cuando se trate de un edificio que carezca de declaración de obra nueva inscrita, su adopción requerirá que se verifique su adecuación a la normativa urbanística aplicable.
d) En el caso de que la superficie de los espacios exteriores de uso privativo del edificio o elemento de un edificio supere el 15 por 100 de la
superficie total del mismo, aquella superficie se deberá medir por separado y se valorará con precio unitario diferente la superficie de los espacios exteriores. También deberán valorarse con precio unitario diferente los espacios exteriores no cubiertos y los que por su uso, características constructivas y funcionales se considere que tienen valores independientes.
El conjunto de estas superficies deberá ser objeto de justificación, indicando los criterios seguidos.
e) A los efectos del cálculo de su valor máximo legal, en las viviendas sujetas a protección pública, se tomará como superficie la consignada en la
cédula de calificación correspondiente.
2. Para calcular el valor de un terreno o de una finca rústica se utilizará como superficie la comprobada por el tasador. Cuando dicha comprobación no sea viable se utilizará la menor entre la superficie registral y la catastral.
Sin perjuicio de lo señalado en el párrafo anterior, se podrá utilizar la mayor entre la superficie registral y la catastral siempre que, una vez hechas las estimaciones oportunas, se justifique expresa y razonadamente de una manera destacada.
Artículo 6. Expresión de los valores.
1. Los valores de los bienes inmuebles y derechos objeto de valoración sereflejarán en un informe y en su caso en un certificado de tasación para cuya elaboración se estará a lo previsto en el Título III de esta Orden.
2. Dichos valores se expresarán en la moneda de curso legal del país donde se localicen los bienes o el objeto de los derechos. Si dicha moneda no fuera el euro, los valores a los que se refiere el apartado anterior se expresarán también en euros
utilizando como tipo de cambio los publicados oficialmente en la fecha de la tasación o, en su caso, en el día anterior más próximo.
CAPÍTULO II
Comprobaciones y documentación
Artículo 7. Comprobaciones mínimas.
1. Para determinar el valor de tasación se realizarán las comprobaciones necesarias para conocer las características y situación real del objeto de la valoración, y se utilizará el contenido de la documentación señalada en el artículo 8 de esta Orden.
2. Entre las comprobaciones a que se refiere el apartado anterior, se incluirán al
menos las siguientes:
a) La identificación física del inmueble, mediante su localización e inspección ocular por parte de un técnico competente, comprobando si su
superficie y demás características coinciden con la descripción que conste en la documentación utilizada para realizar la tasación, así como de la
existencia de servidumbres visibles y de su estado de construcción o conservación aparente.
b) El estado de ocupación del inmueble y uso o explotación al que se destine.
c) En el caso de viviendas, el régimen de protección pública.
d) El régimen de protección del patrimonio arquitectónico.
e) La adecuación del inmueble al planeamiento urbanístico vigente, y, en su caso, la existencia del derecho al aprovechamiento urbanístico que se
valore.
Artículo 8. Documentación necesaria.
1. Para realizar el cálculo del valor de tasación, se deberá haber dispuesto previamente de todos aquellos documentos que sean necesarios para una identificación completa del objeto de la valoración, teniendo en cuenta el tipo de bien, la finalidad de
aquélla, el estado de ocupación y construcción de aquél y el método de valoración utilizado.
Entre los documentos a los que se refiere el párrafo anterior se incluirá la certificación registral acreditativa de la titularidad y cargas del inmueble, así como de su descripción completa, expedida dentro de los tres meses anteriores a la fecha de la valoración, o sus equivalentes legales en soportes alternativos.
No obstante, en la valoración de bienes para la finalidad señalada en el artículo 2.a) y en la valoración previa a la compra de bienes para la finalidad señalada en el artículo 2.c) (Ámbito de aplicación) de esta Orden, dicha certificación podrá ser sustituida
por original o copia de nota simple registral, expedida dentro de los tres meses anteriores a la fecha de valoración, que contenga al menos la titularidad y descripción completa del inmueble, incluidos en su caso, los derechos reales y las limitaciones del
dominio; o por fotocopia del libro de Registro de la propiedad, por fotocopia de escritura de propiedad, o por documentos equivalentes emitidos por procedimientos telemáticos por el Registro de la Propiedad.
2. Además de lo señalado en el apartado anterior, se deberá haber dispuesto de lo siguiente:
a) En el caso de edificios en proyecto que se valoren para la hipótesis de edificio terminado, el proyecto de los mismos visado por el colegio
profesional competente.
b) En el caso de edificios en construcción o en rehabilitación que se valoren para la hipótesis de edificio terminado, y además del proyecto de los
mismos visado por el Colegio profesional correspondiente, la licencia de obra, la última certificación de la obra ejecutada expedida por la dirección facultativa, así como el contrato de ejecución de la obra y el presupuesto
de contrata, si existen.
c) En el caso de viviendas sujetas a protección pública, cédula de calificación o documento administrativo que acredite o permita determinar
el precio máximo en venta o alquiler.
d) En el caso de edificios (cuyo uso principal sea la vivienda) a que se refiere el artículo 2 de la Ley 38/1999, de 5 de noviembre, de ordenación
de la edificación, el documento acreditativo de la expedición del seguro de daños materiales contemplado en su artículo 19.1.c) (Seguro de daños
decenal).
e) En el caso de inmuebles cuyo uso se haya cedido total o parcialmente, el contrato de arrendamiento u otro título de ocupación, el último recibo de la renta abonado así como una certificación expedida por el propietario en la que se expresará con claridad: cada una de las superficies arrendadas dentro de la finca; la renta neta anual producida en total y por cada una de las partes; el estado de ocupación del inmueble; el estado de pago de las rentas vigentes; los gastos imputables al inmueble, con indicación de los repercutidos al ocupante durante el último año y el destino del inmueble.
A efectos de la finalidad indicada en el artículo 2.a) de la presente Orden, los datos a que se refiere el párrafo anterior deberán estar igualmente disponibles aunque no será necesaria la certificación expedida por el
propietario.
f) En inmuebles ligados a una explotación económica, los documentos necesarios para calcular los flujos a que se refiere el artículo 27 (Flujos de
caja en el método de actualización) de esta Orden.
g) En el caso de fincas rústicas, la documentación catastral relevante, la referente a su régimen de explotación, así como, en su caso, la del derecho de riego y la de su rendimiento.
h) En el caso de los terrenos que se valoren atendiendo a su aprovechamiento urbanístico o para edificios en proyecto, cédula urbanística o certificado municipal u otra documentación que permita determinar la clase de suelo, y en su caso, su aprovechamiento urbanístico, condiciones para su desarrollo o documentación necesaria para determinarlos.
i) En el caso de edificios en régimen de propiedad horizontal o elementos de edificios diferentes de vivienda o plaza de garaje, los estatutos de la comunidad de propietarios, documento equivalente o certificación del administrador de la comunidad acreditativa de las limitaciones de su uso u
otras circunstancias contenidas en aquellos que pudieran afectar a su valor.
j) Los restantes que sean exigidos por otras disposiciones de la presente Orden según el método de valoración adoptado, el tipo de inmueble o la
finalidad de tasación.
CAPÍTULO III
Condicionantes y advertencias
Artículo 9. Valor de tasación condicionado.
Salvo lo previsto en el artículo 14, para que el valor de tasación calculado de acuerdo con la presente Orden pueda ser utilizado para alguna de las finalidades señaladas en su artículo 2 (Ámbito de aplicación) ha de ser expresado sin sujeción a ningún condicionante.
Artículo 10. Condicionantes.
1. A los efectos de esta Orden se considerará que existe un condicionante en los siguientes supuestos:
a) Cuando no se hayan podido realizar las comprobaciones a que se refiere el artículo 7.2 (Comprobaciones mínimas), salvo en el caso de la prevista
en la letra d) de dicho apartado, que sólo constituirá un condicionante cuando afecte a edificios completos o locales comerciales.
b) Cuando, estando cedido el uso del inmueble, no se haya dispuesto del contrato de arrendamiento u otro título de ocupación y de las condiciones
actuales del arrendamiento o cesión.
c) Cuando el inmueble esté sujeto a protección pública y no se haya podido calcular su valor máximo legal.
d) Cuando no se haya dispuesto, en su caso, de alguna de la documentación siguiente:
– La documentación a que se refieren los párrafos segundo y tercero del artículo 8.1 (Documentación disponible) de esta Orden.
– El proyecto visado a que se refiere el artículo 8.2.a).
– La licencia de obra a que se refiere el artículo 8.2.b).
– Cédula urbanística o documentación a que se refiere el artículo 8.2.h) de esta Orden.
– La de la adscripción del derecho de riego a la finca rústica a que se refiere el artículo 8.2.g) cuando ésta se valore como regadío.
e) Cuando no hayan podido cumplirse otras exigencias previstas en la presente Orden, o concurran otras circunstancias que impliquen dudas razonadas sobre la correcta identificación, física o registral, del inmueble a tasar, o sobre la existencia de las características del mismo utilizadas en la
tasación, que puedan afectar significativamente al cálculo de sus valores técnicos.
2. Cuando la tasación se efectúe a los efectos de lo dispuesto en el artículo 2.c) (Ámbito de aplicación) de la presente Orden, se condicionará el valor de tasación, cuando el titular registral del inmueble no coincida con la institución que lo incluya a efectos de cálculo de su valor patrimonial.
Lo señalado en el párrafo anterior no será de aplicación cuando se realicen tasaciones previas a la compra de inmuebles por parte de sociedades o fondos de inversión inmobiliaria.
Artículo 11. Advertencias generales.
A los efectos de esta Orden se considerará que existe un supuesto de advertencia, siempre que se tenga duda sobre alguno de los datos utilizados en el cálculo de los valores técnicos del objeto de la valoración, y como mínimo, en los supuestos que se indican a continuación:
a) Cuando existan discrepancias entre la realidad física del inmueble y su descripción registral que no induzcan a dudar sobre su identificación o características y que no influyan previsiblemente sobre los valores calculados.
b) Cuando el inmueble que se valora no esté conforme con el planeamiento urbanístico vigente, salvo que se haya formulado un condicionante, o, cuando, no siendo exigible la emisión de un condicionante, no se haya podido comprobar el régimen de protección del patrimonio arquitectónico del inmueble.
c) Cuando se valoren inmuebles sujetos a expropiación forzosa o en base a licencias de construcción o autorizaciones administrativas que contengan condiciones, que de no cumplirse puedan originar modificaciones en el valor certificado.
d) Cuando en la valoración se hayan utilizado métodos diferentes de los indicados en el artículo 15.1 (Métodos) de esta Orden.
e) Cuando para calcular el valor máximo legal no se haya dispuesto de la documentación indicada en el artículo 8.2.c).
f) Cuando no se haya dispuesto de alguna de la documentación siguiente:
Los documentos necesarios para calcular los flujos de caja a que se refiere el artículo 8.2.f).
En las fincas rústicas, la documentación catastral relevante o la referente a su régimen de explotación o rendimiento.
Los documentos señalados en el artículo 8.2.b), excepto la licencia de obra para la que será de aplicación lo previsto en el artículo 10.1.d).
En los casos a que se refieren las letras d) e i) del artículo 8.2, los documentos allí señaladas.
Artículo 12. Advertencias específicas.
1. Con independencia de las advertencias generales señaladas en el artículo anterior, cuando concurran todas las circunstancias mencionadas en el apartado siguiente, la entidad tasadora deberá advertir expresa y motivadamente de la posibilidad de que el valor de tasación del inmueble sufra minusvalías en el futuro, poniendo de manifiesto los datos (ciclos pasados en el mismo mercado local; expectativas comunes entre los expertos; volatilidad apreciada en el precio de sus comparables; mercado dominado por elementos especulativos, etc.) de que disponga sobre las características y la coyuntura del mercado inmobiliario considerado.
2. Las circunstancias a que se refiere el apartado anterior son las siguientes:
a) Que el valor de tasación se calcule para la finalidad prevista en el apartado 2.a) de esta Orden.
b) Que en el cálculo del valor de tasación se utilice exclusivamente el método de comparación.
c) Que el bien objeto de valoración esté destinado a un uso cuyos comparables, en el mercado local donde se sitúe hayan experimentado alguna caída significativa y duradera de sus precios nominales en los últimos diez años.
3. En las tasaciones que tengan como finalidad la prevista en el apartado 2.a) de esta Orden, también se deberá incluir una advertencia específica, en la forma que se indica a continuación, cuando, aunque no concurra la circunstancia prevista en la letra c)
del apartado anterior, la entidad tasadora estime que existe una probabilidad elevada de que el valor de tasación experimente una reducción significativa en términos nominales antes de transcurrido un año desde la fecha de la tasación que dure al menos 3 años.
La estimación deberá apoyarse en datos sólidos disponibles sobre la situación coyuntural del mercado local, y la advertencia deberá mencionar aquella probabilidad justificando su existencia y los datos en que se apoya la estimación de la entidad.
Artículo 13. Actuaciones de la entidad tasadora.
1. Cuando se produzca un condicionante, la entidad tasadora deberá elegir una de las siguientes alternativas:
a) Entregar el informe al cliente condicionando expresamente el valor de tasación.
b) Entregar el informe al cliente denegando la fijación de un valor de tasación.
No obstante, cuando la tasación se realice a los efectos de la finalidad señalada en el artículo 2.a), y no se hubiera podido identificar física o registralmente el inmueble, la entidad deberá rehusar de manera razonada la emisión del informe.
2. Cuando se produzca una advertencia, la entidad tasadora deberá expresar, en su caso, su efecto sobre la valoración.
Artículo 14. Subsanación y levantamiento del condicionante.
1. No obstante lo indicado en el artículo 9, los informes y certificados que contengan condicionantes podrán utilizarse siempre que se hayan levantado conforme a lo previsto en el apartado 2 y, además, a efectos de la finalidad prevista en el artículo
2.a) podrán utilizarse los informes y certificados que contengan:
El condicionante mencionado en la letra b) del artículo 10.1, si previamente a la formalización de la hipoteca se hubiera transmitido la propiedad del inmueble libre de inquilinos y ocupantes.
Los condicionantes mencionados en las letras a), por lo que se refiere a la comprobación del régimen de protección pública de la vivienda a valorar, y c) del artículo 10.1, si previamente a la formalización de la hipoteca, se incorporase al expediente del
correspondiente crédito, bajo la responsabilidad de la entidad de crédito que lo conceda, la documentación, procedente de las autoridades administrativas competentes o del Registro de la Propiedad correspondiente, que refleje el régimen legal del inmueble (existencia o inexistencia de protección pública, concreción del valor máximo legal), unida a una declaración suscrita por apoderado bastante de la entidad en la que
manifieste la identidad de los inmuebles a que se refiere la citada documentación y los
contemplados en la tasación.
2. La entidad tasadora podrá levantar el condicionante de un informe de tasación y del certificado en que aquél se sintetice cuando haya desaparecido el supuesto que dio origen al mismo. El levantamiento del condicionante exigirá la declaración expresa y razonada de la entidad que suscribió el informe que lo contenía en la que se manifieste
que se ha verificado la desaparición del supuesto que dio origen al mismo.
TÍTULO II
Cálculo del valor de tasación
CAPÍTULO I
Métodos técnicos de valoración
SECCIÓN 1.ª DISPOSICIONES GENERALES
Artículo 15. Métodos.
1. Los métodos técnicos de valoración utilizables a efectos de esta Orden son:
a) El Método del coste.
b) El Método de comparación.
c) El Método de actualización de rentas.
d) El Método residual.
2. Dichos métodos permiten obtener el valor de mercado, el valor hipotecario y el valor de reemplazamiento.
Artículo 16. Aplicabilidad y procedimientos.
1. El ámbito de aplicabilidad de los métodos señalados en el artículo anterior así como los requisitos y procedimientos para su aplicación se ajustará a lo establecido en las secciones siguientes de este capítulo.
2. En todo caso, en la aplicación de dichos métodos para la finalidad prevista en el artículo 2.a) (Ámbito de aplicación) se eliminarán los elementos especulativos.
SECCIÓN 2.ª MÉTODO DEL COSTE
Artículo 17. Aplicabilidad del método del coste.
1. El Método del coste será aplicable en la valoración de toda clase de edificios y elementos de edificios, en proyecto, en construcción o rehabilitación o terminados.
2. Mediante este método se calcula un valor técnico que se denominará valor de reemplazamiento. Dicho valor podrá ser bruto o neto.
Artículo 18. Procedimiento de cálculo del valor de reemplazamiento bruto.
1. Para calcular el valor de reemplazamiento bruto se sumarán las siguientes inversiones:
a) El valor del terreno en el que se encuentra el edificio o el del edificio a rehabilitar.
b) El coste de la edificación o de las obras de rehabilitación.
c) Los gastos necesarios para realizar el reemplazamiento.
Para determinar los valores o importes a que se refiere el párrafo anterior se tendrá en cuenta lo señalado en los números siguientes.
2. Para determinar el valor del terreno o del edificio a rehabilitar se utilizará bien el método de comparación, bien el método residual de acuerdo con lo previsto en la presente Orden.
3. El coste de la edificación o de las obras de rehabilitación será el coste de la construcción por contrata.
Se considerará como coste de la construcción por contrata, la suma de los costes de ejecución material de la obra, sus gastos generales, en su caso, y el beneficio industrial del constructor. No se incluirán en dicho coste el de los elementos no esenciales de la edificación que sean fácilmente desmontables ni, excepto para los inmuebles ligados a una explotación económica, los costes de los acabados e
instalaciones no polivalentes. En el caso de edificios de carácter histórico o artístico se tendrá en cuenta, además, el valor particular de los elementos de la edificación que le confieran ese carácter.
4. Los gastos necesarios serán los medios del mercado según las características del inmueble objeto de valoración, con independencia de quien pueda acometer el reemplazamiento. Dichos gastos se calcularán con los precios existentes en la fecha de la
valoración.
Se incluirán como gastos necesarios, entre otros, los siguientes:
– Los impuestos no recuperables y aranceles necesarios para la formalización de la declaración de obra nueva del inmueble.
– Los honorarios técnicos por proyectos y dirección de las obras u otros necesarios.
– Los costes de licencias y tasas de la construcción.
– El importe de las primas de los seguros obligatorios de la edificación y de los honorarios de la inspección técnica para calcular dichas primas.
– Los gastos de administración del promotor.
– Los debidos a otros estudios necesarios.
No se considerarán como gastos necesarios el beneficio del promotor, ni cualquier clase de gastos financieros o de comercialización.
5. En la determinación del valor de reemplazamiento bruto de los inmuebles en construcción o en rehabilitación se atenderá a la situación de la obra ejecutada en la fecha de la valoración, sin incluir acopios ni mobiliario.
6. Cuando se calcule el valor de reemplazamiento bruto de inmuebles en proyecto, en construcción o en rehabilitación, para la hipótesis de edificio terminado, los precios de las unidades de obra existentes en el momento de la tasación podrán corregirse, en su caso, con la evolución del mercado hasta la fecha de la actualización. La modificación del valor del suelo no podrá realizarse hasta que la obra esté terminada y exigirá la actualización de la tasación.
Artículo 19. Procedimiento de cálculo del valor de reemplazamiento neto.
1. Para calcular el valor de reemplazamiento neto se restará del valor de reemplazamiento bruto la depreciación física y funcional del edificio terminado.
2. La depreciación física de la edificación se calculará por alguno de estos tres procedimientos:
a) Atendiendo a la vida útil total y residual estimadas por el tasador el cual deberá justificar adecuadamente el procedimiento utilizado en dicha
estimación.
En el caso de que atribuyera diferentes vidas útiles a las diferentes instalaciones o elementos de la construcción de edificio la justificación
desglosará cada una de ellas.
b) Mediante la técnica de amortización lineal, a cuyos efectos se multiplicará el VRB, excluido el valor de mercado del terreno, por el cociente que resulte de dividir la antigüedad del inmueble entre su vida útil total.
Esta última será la estimada por el tasador y, como máximo:
– Para edificios de uso residencial: 100 años.
– Para edificios de oficinas: 75 años.
– Para edificios comerciales: 50 años.
– Para edificios de uso industrial e inmuebles ligados a una explotación económica: 35 años.
En el caso de edificios no destinados a un uso determinado, la vida útil máxima se obtendrá ponderando los plazos máximos señalados
anteriormente en función de la superficie destinada a cada uno de los usos.
c) Sumando los costes y gastos necesarios para transformar el edificio actual en uno nuevo de similares características
3. Los elementos de un edificio seguirán el régimen de depreciación correspondiente al edificio en que se encuentren.
4. La depreciación funcional se calculará como el valor de los costes y gastos necesarios para adaptar el edificio a los usos a los que se destina, o para corregir errores de diseño u obsolescencia.
SECCIÓN 3.ª MÉTODO DE COMPARACIÓN
Artículo 20. Aplicabilidad del método de comparación.
1. El Método de comparación será aplicable a la valoración de toda clase de inmuebles siempre que se cumplan los requisitos que se establecen en el artículo siguiente.
2. En los términos previstos en los artículos 53 (Valoración de inmuebles sobre los que existe derecho de superficie) y 54 (Valoración de concesiones administrativas) de esta Orden podrá ser aplicado igualmente a la valoración del derecho de superficie y de
las concesiones administrativas.
3. Mediante este método se determinan dos valores técnicos que se denominarán valor por comparación, que permite determinar el valor de mercado de un determinado bien, y valor por comparación ajustado, que permite determinar su valor hipotecario.
Artículo 21. Requisitos para la utilización del método de comparación.
1. Para la utilización del Método de comparación a efectos de esta Orden será necesario que se cumplan los siguientes requisitos:
a) La existencia de un mercado representativo de los inmuebles comparables.
b) Disponer de suficientes datos sobre transacciones u ofertas que permitan, en la zona de que se trate, identificar parámetros adecuados para realizar la homogeneización de comparables.
c) Disponer de información suficiente sobre al menos seis transacciones u ofertas de comparables que reflejen adecuadamente la situación actual de
dicho mercado.
2. Adicionalmente, para la utilización del método de comparación a efectos de lo previsto en el artículo 2.a) (Ámbito de aplicación) de la presente Orden serán necesarios, los siguientes requisitos:
a) Disponer de datos adecuados (transacciones, ofertas, etc.) para estimar la evolución de los precios de compraventa en el mercado local de comparables durante al menos los 2 años anteriores a la fecha de la
valoración.
b) Disponer de información adecuada (datos propios, publicaciones oficiales o privadas, índices sobre evolución de precios, etc.) sobre el
comportamiento histórico de las variables determinantes en la evolución de los precios del mercado inmobiliario de los inmuebles de usos análogos al que se valore y sobre el comportamiento de esos precios en el ciclo relevante al efecto y sobre el estado actual de la coyuntura inmobiliaria.
c) Contar con procedimientos adecuados que, a través de la detección de las ofertas o transacciones con datos anormales en el mercado local, posibiliten la identificación y eliminación de elementos especulativos.
Artículo 22. Procedimiento de cálculo del valor por comparación.
1. Para calcular el valor por comparación se seguirán las siguientes reglas generales:
a) Se establecerán las cualidades y características del inmueble tasado que influyan en su valor.
En el caso de edificios de carácter histórico o artístico, para establecer dichas cualidades y características, se tendrá en cuenta, además, el valor particular de los elementos de la edificación que le confiere ese carácter.
b) Se analizará el segmento del mercado inmobiliario de comparables y, basándose en informaciones concretas sobre transacciones reales y ofertas
firmes apropiadamente corregidas en su caso, se obtendrán precios actuales de compraventa al contado de dichos inmuebles.
c) Se seleccionará entre los precios obtenidos tras el análisis previsto en la letra anterior, una muestra representativa de los que correspondan a los comparables, a la que se aplicará el procedimiento de homogeneización necesario.
En la selección indicada se deberá, previamente, contrastar aquellos precios que resulten anormales a fin de identificar y eliminar tanto los
procedentes de transacciones y ofertas que no cumplan las condiciones exigidas en la definición de valor de mercado de los bienes afectados como,
cuando se trate de una valoración para la finalidad prevista en el artículo
2.1.a) de esta Orden, los que puedan incluir elementos especulativos.
d) Se realizará la homogeneización de comparables con los criterios, coeficientes y/o ponderaciones que resulten adecuados para el inmueble de
que se trate.
e) Se asignará el valor del inmueble, neto de gastos de comercialización, en función de los precios homogeneizados, previa deducción de las
servidumbres y limitaciones del dominio que recaigan sobre aquél y que no hayan sido tenidas en cuenta en la aplicación de las reglas precedentes.
2. Además de las reglas generales señaladas en el apartado anterior, para determinar el valor a que se refiere dicho número se tendrán en cuenta, cuando proceda, las siguientes reglas especiales:
a) En el caso de edificios en proyecto, construcción o rehabilitación, cuando se determine el valor por comparación para la hipótesis de edificio
terminado, se utilizarán los precios existentes en el mercado en la fecha de la tasación para la venta de inmuebles terminados similares. Este valor se podrá corregir razonadamente de acuerdo con la tendencia del mercado para el plazo previsto de terminación de la obra.
b) En el caso de valoración de fincas rústicas, al utilizar el método de comparación, la homogeneización prevista en el mismo se basará en los
valores unitarios por hectárea existentes en el mercado para las distintas clases de tierra, o tipos de cultivos y/o aprovechamiento.
Artículo 23. Ajuste del valor por comparación.
1. El valor por comparación obtenido de acuerdo con el artículo anterior será ajustado por la entidad tasadora para obtener un valor por comparación ajustado cuando concurran los requisitos para incluir la advertencia específica que se menciona en el
apartado 3 del artículo 12.
2. Para corregir los efectos de la probabilidad a que se refiere dicho artículo 12.3, la entidad tasadora, en base a su capacidad técnica, aplicará al valor por comparación la reducción que considere necesaria.
Cuando los datos disponibles sobre el comportamiento del mercado no permitan, en opinión de la entidad tasadora, estimar la reducción indicada en el párrafo anterior, se aplicará un porcentaje de reducción del 10 por 100 en todo caso, y del 15 por 100 si aprecia una gran volatilidad en los precios considerados para determinar el valor por comparación.
3. Sin perjuicio de la información exigible en el cálculo del valor de tasación, la mención al ajuste realizado y su justificación se incluirán en la advertencia específica a que se refiere el artículo 12.3.
SECCIÓN 4.ª MÉTODO DE ACTUALIZACIÓN DE RENTAS
Artículo 24. Aplicabilidad del método de actualización.
1. El método de actualización de rentas será aplicable, siempre que se cumplan los requisitos establecidos en el artículo siguiente, a la valoración de toda clase de inmuebles susceptibles de producir rentas y a la de los derechos reales señalados en el artículo 52.2 (Aplicación), salvo las opciones de compra.
2. Mediante este método se calculará un valor técnico que se denominará valor por actualización, que permite determinar tanto el valor de mercado de un determinado bien como su valor hipotecario.
Artículo 25. Requisitos para la utilización del método de actualización.
1. Para la utilización del método de actualización a efectos de esta Orden será necesario que se cumpla al menos uno de los siguientes requisitos:
a) La existencia de un mercado de alquileres representativo de los comparables. Para presumir tal existencia, será necesario disponer, como
mínimo, de seis datos de rentas de alquiler sobre comparables que reflejen
adecuadamente la situación actual de este mercado y disponer de suficientes datos sobre transacciones en alquiler u ofertas que permitan identificar parámetros adecuados para realizar la homogeneización de rentas en comparables.
b) La existencia de un contrato de arrendamiento sobre el inmueble objeto de valoración.
c) Que el inmueble valorado esté produciendo o pueda producir ingresos como inmueble ligado a una actividad económica y que además existan
suficientes datos contables de la explotación o información adecuada sobre ratios estructurales medias de la rama de actividad correspondiente.
2. Para utilizar el método de actualización de rentas a efectos de lo previsto en el artículo 2.a) (Ámbito de aplicación) de la presente Orden será necesario, cuando concurra alguno de los supuestos previstos en las letras a) o b) del apartado 1, que la entidad de tasación disponga de:
a) Datos adecuados (transacciones u ofertas, etc.), sobre la evolución de las rentas de alquiler en el mercado local de inmuebles comparables
durante al menos los 2 años anteriores a la fecha de la valoración, y su estado actual.
b) Información adecuada (datos propios, publicaciones oficiales, índices de precios) sobre el comportamiento histórico de las variables determinantes en la evolución de los precios del mercado inmobiliario de los inmuebles de usos análogos al que se valore y sobre el propio comportamiento de esos precios en el ciclo relevante al efecto y el estado actual de la coyuntura inmobiliaria.
c) Procedimientos adecuados que, a través de la detección de las ofertas o transacciones con datos anormales en el mercado local, posibiliten la
identificación y eliminación de elementos especulativos.
Artículo 26. Procedimiento de cálculo del valor por actualización.
El cálculo del valor de actualización exigirá:
a) Estimar los flujos de caja.
b) Estimar el valor de reversión.
c) Elegir el tipo de actualización.
d) Aplicar la fórmula de cálculo.
Artículo 27. Flujos de caja en el método de actualización.
1. A efectos de lo señalado en el artículo anterior los flujos de caja pueden ser inmobiliarios y operativos.
2. Se entenderá por flujos de caja inmobiliarios, los cobros y pagos futuros que traigan causa del inmueble objeto de valoración.
3. Se entenderá por flujos de caja operativos los de la explotación que utilice el inmueble objeto de valoración. Estos flujos se calcularán sumando al beneficio de la explotación en el ejercicio después de impuestos las dotaciones a amortizaciones realizadas en el mismo y restando de esta suma las inversiones efectuadas en dicho ejercicio en inmovilizado y, en su caso, las variaciones del fondo de maniobra.
Cuando se vaya a calcular el valor de tasación para la finalidad prevista en el artículo 2.a) (Ámbito de aplicación), los beneficios a considerar serán, en exclusiva, los ordinarios del correspondiente ejercicio.
Se entenderá por fondo de maniobra la diferencia entre el saldo del activo circulante y el de acreedores a corto plazo del balance.
El inmovilizado, el activo circulante y los acreedores a corto plazo abarcarán las cuentas que se señalan en los artículos 176, 177 y 180 del texto refundido de la Ley de Sociedades Anónimas, aprobado por el Real Decreto-Legislativo 1564/1989, de 22 de diciembre.
4. Los flujos de caja se estimarán teniendo en cuenta el régimen del inmueble objeto de valoración y, en todo caso, se utilizarán las hipótesis más probables para determinar sus cuantías y las fechas en que se realizarán los cobros y los pagos.
Dichos flujos de caja se calcularán en unidades monetarias del año a que se refiera el valor de la tasación, sin tener en cuenta, por tanto, el efecto inflacionista.
Artículo 28. Flujos de caja de los inmuebles con mercado de alquileres.
1. Lo establecido en este artículo podrá aplicarse siempre que exista, en la fecha de la tasación, un mercado de alquileres en los términos establecidos en el artículo 25.1.a) (Requisitos para la utilización del método de actualización) de esta Orden, con independencia de que el inmueble esté alquilado, vacío o explotado directamente por su propietario.
2. Los flujos de caja del inmueble objeto de valoración se estimarán, a lo largo de su vida útil, teniendo en cuenta todos los factores que puedan afectar a su cuantía y a su obtención efectiva, entre ellos:
– Los cobros que normalmente se obtengan en inmuebles comparables.
– La ocupación actual y la probabilidad de ocupación futura del inmueble.
– Las disposiciones legales o cláusulas contractuales (renta, revisiones, plazo, etc.) que afecten exclusivamente a los flujos de caja del inmueble.
Se excluirán aquellas disposiciones o cláusulas que afecten a flujos atribuibles a elementos vinculados a dicho inmueble pero ajenos a él tales
como mobiliario, enseres, etc.
– La morosidad actual o previsible de los cobros.
– La evolución previsible del mercado, teniendo en cuenta solamente,
cuando la valoración se realice para la finalidad prevista en el artículo 2.a) (Ámbito de aplicación) de esta Orden, aquellas situaciones o circunstancias que presumiblemente puedan permanecer en el medio y largo plazo.
3. Sin perjuicio de lo señalado en el apartado anterior, durante el período de vigencia de los contratos de arrendamiento las cuantías de los cobros integrantes de los flujos de caja serán las derivadas de las cláusulas contractuales. No obstante, si dichas cuantías fuesen superiores a las de otros inmuebles comparables, sólo podrán utilizarse si se considera y justifica que no es previsible la modificación de dichas cuantías y,
cuando se pretenda calcular el valor de tasación para la finalidad prevista en el artículo
2.a) (Ámbito de aplicación), siempre que las mismas no puedan atribuirse a elementos especulativos.
4. En el cálculo de los pagos se incluirá cualquier tipo de gasto necesario actual o previsible, incluso recuperable, que deba soportar la propiedad, ya sea imputable directamente al inmueble (mantenimiento, conservación administración, impuestos, tasas, etc.), ya sea consecuencia de su destino o necesario para su alquiler (administración de los alquileres, comercialización, etcétera).
En los pagos recuperables se tendrá también en cuenta el plazo previsible en que vayan a ser efectivamente recuperados.
Artículo 29. Flujos de caja de otros inmuebles en arrendamiento.
1. Lo establecido en este artículo podrá aplicarse cuando el inmueble objeto de valoración se encuentre arrendado en la fecha de la tasación.
2. Los flujos de caja del inmueble objeto de valoración se estimarán, mientras esté en vigor el contrato de arrendamiento, teniendo en cuenta las cláusulas contractuales del mismo.
Cuando la finalidad de la valoración sea la prevista en el artículo 2.a) (Ámbito de aplicación), los flujos de caja del inmueble objeto de valoración que sean superiores a los de otros inmuebles comparables se sustituirán por los de éstos siempre que la diferencia pueda atribuirse a la presencia de elementos especulativos.
Artículo 30. Flujos de caja de otros inmuebles en explotación económica.
1. Lo establecido en este artículo podrá aplicarse cuando el inmueble objeto de valoración se encuentre en la fecha de la tasación ligado a una actividad económica.
2. Se estimarán los flujos de caja de la explotación durante el período de tiempo en que previsiblemente vaya a continuar la misma y se tomarán los que son imputables al inmueble.
3. Los flujos de caja a que se refiere el apartado anterior serán las cuantías medias del sector de actividad en el que se integre dicha explotación. Dichas cuantías medias se corregirán razonadamente cuando:
a) La localización o las características particulares del inmueble influyan o puedan influir claramente en que la explotación económica obtenga
ingresos superiores o inferiores a la media del sector de actividad en el que se integra.
Cuando la finalidad de la valoración sea la prevista en el artículo 2.a) (Ámbito de aplicación) sólo se llevará a cabo corrección si se prevé que los ingresos a que se refiere el apartado anterior, cuando sean superiores a las
cuantías medias citadas, vayan a ser obtenidos de modo duradero al menos durante los cinco años siguientes a la fecha de la tasación.
b) Las perspectivas económicas de dicho sector modifiquen la probabilidad de obtener los ingresos netos previstos por dicha explotación.
Para realizar la corrección a que se refiere el primer párrafo de este número no se podrán utilizar los datos actuales o previsibles de la
explotación que utiliza el inmueble objeto de valoración que, según opinión razonada del tasador, traigan causa de factores vinculados
fundamentalmente a la gestión de dicha explotación u otros ajenos al inmueble.
4. Para realizar la imputación a que se refiere el apartado 2 de este artículo se tomarán los flujos de caja operativos determinados según el apartado anterior y se tendrá en cuenta el valor relativo del mobiliario y equipo no inmobiliario.
5. Cuando no existan las cuantías medias a que se refiere el apartado 3 de este artículo, se utilizarán las propias de la explotación de que se trate siempre que se disponga de datos de al menos, los dos últimos años.
En el caso de tratarse de una explotación en proyecto, se tendrán en cuenta las cuantías previsionales aportadas por los titulares de la futura explotación, siempre que sean completas y alcancen al menos tres ejercicios.
En el caso de que la finalidad de la valoración sea la prevista en el artículo 2.a) (Ámbito de aplicación) las cuantías a que se refiere el párrafo anterior se reducirán al menos en un 10 por 100.
Artículo 31. Valor de reversión.
1. Cuando los flujos de caja se calculan de conformidad con lo previsto en el artículo 28 (Flujos de caja de los inmuebles con mercado de alquileres) de esta Orden, el valor de reversión al final de su vida útil será el valor en esa fecha del terreno en el que
está edificado. Para ello:
a) Se calculará el valor del terreno en la fecha de la tasación de acuerdo con los métodos previstos en esta Orden.
b) Dicho valor se ajustará con la plusvalía o la minusvalía que resulte razonable y sea debidamente justificada, teniendo en cuenta la localización, uso y evolución del mercado de inmuebles comparables.
2. Cuando los flujos de caja se calculan de acuerdo con lo previsto en el artículo 29 (Flujos de caja de otros inmuebles en arrendamiento) de esta Orden, el valor de reversión será el valor previsible del inmueble al final del contrato. Para ello se calculará el valor del inmueble libre de inquilinos en la fecha de la tasación aplicando el método de valoración correspondiente y se ajustará el valor del suelo de acuerdo con la letra b) del apartado 1 anterior y se restará la depreciación física y funcional de la edificación, calculada de acuerdo con el método del coste.
3. Cuando los flujos de caja se calculen de acuerdo con lo previsto en el artículo 30 (Flujos de caja de otros inmuebles en explotación económica) de esta Orden, para estimar el valor de reversión al final del período de tiempo en que previsiblemente vaya a continuar la explotación, se tomará su valor de reemplazamiento neto en dicho momento. Para ello se tendrá en cuenta lo señalado en las letras siguientes:
a) Se calculará el valor del suelo en la fecha de la tasación y se ajustará en los términos establecidos en las letras a) y b) del apartado 1 de este artículo.
b) La depreciación de las edificaciones se corresponderá con el período citado.
Artículo 32. Tipo de actualización en el método de actualización.
1. Para determinar el tipo de actualización se seguirá el siguiente procedimiento:
Se adoptará un tipo de interés nominal adecuado al riesgo del proyecto de inversión y que atienda, en particular, a su volumen y grado de liquidez, a la tipología (industrial, comercial, etc.) del inmueble, a sus características y ubicación física, al tipo de contrato de arrendamiento (existente o previsto) y al riesgo previsible en la obtención de rentas.
Dicho tipo de interés se convertirá en real corrigiéndose del efecto inflacionista mediante la aplicación de un índice de precios que refleje adecuadamente la inflación esperada durante el período para el que se prevea la existencia de flujos de caja.
2. El tipo de interés nominal a que se refiere el primer guión del apartado anterior no podrá ser inferior a la rentabilidad media anual del tipo medio de la Deuda del Estado con vencimiento superior a dos años. Este plazo de vencimiento será igual o superior a cinco años si la finalidad de la valoración es la prevista en el artículo 2.a).
Para determinar la rentabilidad media anual:
Se tomará el tipo medio durante un período continuado no inferior a tres meses ni superior a un año contados antes de la fecha de la tasación.
El tipo medio deberá haber sido publicado por un organismo público o por un mercado organizado.
3. La entidad tasadora justificará debidamente el tipo de interés elegido, destacando el diferencial positivo aplicado respecto a la rentabilidad media mencionada en el párrafo anterior, y en especial, la inflación esperada y demás medios de corrección utilizados para obtener un tipo real.
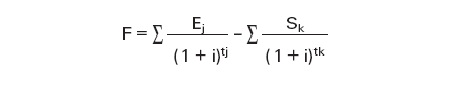
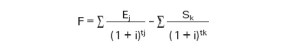
Artículo 33. Fórmula de cálculo del valor por actualización.
1. El valor de actualización del inmueble objeto de valoración será el valor actual (VA) de los flujos de caja y del valor de reversión esperados para el tipo de actualización elegido.
2. El VA a que se refiere el apartado anterior se calculará de acuerdo con la siguiente fórmula matemática:
En donde:
VA = Valor actual.
Ej = Importe de los cobros imputables al inmueble en el momento J.
Sk = Importe de los pagos previstos en el momento K.
tj = Número de períodos de tiempo que debe transcurrir desde el momento de la valoración hasta que se produzca el correspondiente Ej.
tk = Número de períodos de tiempo desde el momento de la valoración hasta que se produzca el correspondiente Sk.
i = Tipo de actualización elegido correspondiente a la duración de cada uno de los períodos de tiempo considerados.
n = Número de períodos de tiempo desde la tasación hasta el final del período de estimación de los ingresos esperados.
3. Los períodos transcurridos (tiempo), y el tipo de actualización a utilizar, se expresarán en las unidades correspondientes a la duración de cada uno de los períodos de tiempo considerados.
SECCIÓN 5.ª MÉTODO RESIDUAL
Artículo 34. Aplicabilidad del método residual.
1. El valor por el método residual se calculará siguiendo uno de los procedimientos siguientes:
a) Procedimiento de análisis de inversiones con valores esperados (Procedimiento de cálculo «dinámico»).
b) Procedimiento de análisis de inversiones con valores actuales (Procedimiento de cálculo «estático»).
2. El método residual podrá aplicarse mediante el procedimiento dinámico a los siguientes inmuebles:
a) Terrenos urbanos o urbanizables, estén o no edificados.
b) Edificios en proyecto, construcción o rehabilitación, incluso en el caso de que las obras estén paralizadas.
3. El método residual sólo se podrá aplicar mediante el procedimiento estático, a los solares e inmuebles en rehabilitación en los que se pueda comenzar la edificación o rehabilitación en un plazo no superior a un año, así como a los solares edificados.
4. Mediante este método se calculará un valor técnico que se denominará valor residual, que permite determinar tanto el valor de mercado de un determinado bien como su valor hipotecario.
Artículo 35. Requisitos para la utilización del método residual.
1. Para la utilización del método residual a efectos de esta Orden será necesario el cumplimiento de los siguientes requisitos:
a) La existencia de información adecuada para determinar la promoción inmobiliaria más probable a desarrollar con arreglo al régimen urbanístico
aplicable o, en el caso de terrenos con edificios terminados, para comprobar si cumplen con dicho régimen.
b) La existencia de información suficiente sobre costes de construcción, gastos necesarios de promoción, financieros, en su caso, y de
comercialización que permita estimar los costes y gastos normales para un promotor de tipo medio y para una promoción de características
semejantes a la que se va a desarrollar.
c) La existencia de información de mercado que permita calcular los precios de venta más probables de los elementos que se incluyen en la promoción
o en el edificio en las fechas previstas para su comercialización.
d) La existencia de información suficiente sobre los rendimientos de promociones semejantes.
2. Para poder aplicar el método residual por el procedimiento dinámico será necesario además de los requisitos señalados en el apartado anterior, la existencia de información sobre los plazos de construcción o rehabilitación, de comercialización del inmueble y, en su caso, de gestión urbanística y de ejecución de la urbanización.
Artículo 36. Procedimiento de cálculo «dinámico».
1. Para el cálculo del valor residual por el procedimiento de cálculo dinámico se seguirán los siguientes pasos:
a) Se estimarán los flujos de caja.
b) Se elegirá el tipo de actualización.
c) Se aplicará la fórmula de cálculo.
2. Se deberán justificar razonada y explícitamente las hipótesis y parámetros de cálculo adoptados.
Artículo 37. Flujos de caja en el método residual dinámico.
1. Se tomarán como flujos de caja: los cobros y, en su caso, las entregas de crédito que se estime obtener por la venta del inmueble a promover; y los pagos que se estime realizar por los diversos costes y gastos durante la construcción o rehabilitación, incluso los pagos por los créditos concedidos.
Dichos cobros y pagos se aplicarán en las fechas previstas para la comercialización y construcción del inmueble.
2. Para estimar los cobros a obtener se partirá de los valores en venta previstos en las fechas de comercialización en la hipótesis de edificio terminado, los cuales se calcularán atendiendo a los valores obtenidos por los métodos de comparación y/o por actualización de rentas en la fecha de tasación, y a la evolución esperada de los precios de mercado.
3. Para estimar los pagos a realizar se tendrá en cuenta los costes de construcción, los gastos necesarios a que se refiere el artículo 18.3 y 4 de esta Orden, los de comercialización y, en su caso, los financieros normales para un promotor de tipo medio y para una promoción de las características similares a la que se estime más probable promover.
En el caso de inmuebles en rehabilitación y en aquellos terrenos que cuenten con proyecto de obra nueva también se tendrán en cuenta los costes de construcción presupuestados en el correspondiente proyecto.
4. Para determinar las fechas y plazos previstos a que se refiere el apartado 1 de este artículo se tendrán en cuenta, además de los sistemas de pagos a proveedores, las hipótesis más probables atendiendo a las características del inmueble proyectado y, en su caso, al grado de desarrollo del planeamiento, de la gestión urbanística y de la urbanización.
5. Para determinar el inmueble a promover sobre el objeto a valorar se tendrá en cuenta el principio de mayor y mejor uso. No obstante, cuando sea conocido el destino decidido por la propiedad del inmueble y no se oponga a la normativa urbanística se atenderá al mismo.
En todo caso, cuando se trate de solares edificados de acuerdo con el régimen urbanístico aplicable, y salvo que exista la posibilidad de materializar el principio de mayor y mejor uso, se atenderá a la edificación existente.
Artículo 38. Tipo de actualización en el método residual dinámico.
1. A los efectos del cálculo del valor residual por el procedimiento dinámico previsto en el artículo 36 (Procedimiento de cálculo «dinámico») de esta Orden se utilizará como tipo de actualización aquel que represente la rentabilidad media anual del proyecto sin tener en cuenta financiación ajena que obtendría un promotor medio en una promoción de las características de la analizada.
Se calculará sumando al tipo libre de riesgo, la prima de riesgo.
2. El tipo libre de riesgo será el tipo de actualización establecido en el artículo 32 (Tipo de actualización en el método de actualización) de esta Orden, tomándolo como real o nominal según sea constante o nominal la estimación de los flujos de caja.
3. La prima de riesgo se determinará por la entidad tasadora, a partir de la información sobre promociones inmobiliarias de que disponga, mediante la evaluación del riesgo de la promoción teniendo en cuenta el tipo de activo inmobiliario a construir, su ubicación, liquidez, plazo de ejecución, así como el volumen de la inversión necesaria.
4. Cuando en la determinación de los flujos de caja se tenga en cuenta la financiación ajena, las primas de riesgo señaladas en el apartado anterior deberán ser incrementadas en función del porcentaje de dicha financiación (grado de apalancamiento) atribuida al proyecto y de los tipos de interés habituales del mercado hipotecario. En todo caso, dicho incremento deberá ser debidamente justificado.
Artículo 39. Fórmula de cálculo del valor residual por el procedimiento dinámico.
El valor residual del inmueble objeto de la valoración calculado por el procedimiento dinámico será la diferencia entre el valor actual de los cobros obtenidos por la venta del inmueble terminado y el valor actual de los pagos realizados por los diversos costes y gastos, para el tipo de actualización fijado, utilizando la siguiente fórmula:
En donde:
F = Valor del terreno o inmueble a rehabilitar.
Ej = Importe de los cobros previstos en el momento J.
Sk = Importe de los pagos previstos en el momento K.
tj = Número de períodos de tiempo previsto desde el momento de la
valoración hasta que se produce cada uno de los cobros.
tk = Número de períodos de tiempo previsto desde el momento de la
valoración hasta que se produce cada uno de los pagos.
i = Tipo de actualización elegido correspondiente a la duración de cada uno
de los períodos de tiempo considerados.
Artículo 40. Procedimiento de cálculo «estático».
1. Para el cálculo del valor residual por el procedimiento estático se seguirán los siguientes pasos:
a) Se estimarán los costes de construcción, los gastos necesarios a que se refiere el artículo 18.3 y 4 de la presente Orden, los de comercialización y, en su caso, los financieros normales para un promotor de tipo medio y para una promoción de características similares a la analizada. En el caso de inmuebles en rehabilitación y en aquellos terrenos que cuenten con proyecto de obra nueva también se tendrán en cuenta los costes de construcción presupuestados en el correspondiente proyecto.
b) Se estimará el valor en venta del inmueble a promover para la hipótesis de edificio terminado en la fecha de la tasación. Dicho valor será el
obtenido por alguno de los métodos establecidos en los artículos precedentes.
c) Se Fijará el margen de beneficio del promotor.
d) Se Aplicará la fórmula de cálculo.
2. Se deberá justificar razonada y explícitamente las hipótesis y parámetros de cálculo adoptados.
Artículo 41. Margen de beneficio del promotor.
1. El margen de beneficio del promotor se fijará por la entidad tasadora, a partir de la información de que disponga sobre promociones de semejante naturaleza, y atendiendo al más habitual en las promociones de similares características y emplazamiento, así como los gastos financieros y de comercialización más frecuentes.
Artículo 42. Fórmula de cálculo del valor residual por el procedimiento estático.
El valor residual por el procedimiento estático del objeto de valoración se calculará
aplicando la siguiente fórmula:
En donde:
F = Valor del terreno o inmueble a rehabilitar.
VM = Valor del inmueble en la hipótesis de edificio terminado.
b = Margen o beneficio neto del promotor en tanto por uno.
Ci = Cada uno de los pagos necesarios considerados.
CAPÍTULO II
Valoración de bienes inmuebles y derechos
SECCIÓN 1.ª DISPOSICIONES GENERALES
Artículo 43. Valoración de inmuebles.
1. Las valoraciones se expresarán por fincas registrales independientes.
2. Para valorar un inmueble integrado por varios elementos se procederá a valorar cada uno de ellos según lo previsto en esta Orden, obteniéndose el valor total del inmueble como suma de los valores calculados para dichos elementos.
3. Aquellos inmuebles que sean objeto de alguno de los derechos contemplados en la sección quinta de este capítulo se valorarán teniendo en cuenta la existencia de dichos derechos.
4. Cuando no fuera posible la utilización de ninguno de los métodos técnicos señalados en el artículo 15, se podrá calcular el valor correspondiente utilizando un procedimiento admitido en la práctica profesional a tal fin. Además de la advertencia a que se refiere la letra d) del artículo 11, dicho procedimiento deberá ser explicado con el debido detalle en el informe, y su utilización justificada adecuadamente en el mismo, especificando además, cuando se trate de calcular el valor de tasación para la finalidad prevista en el artículo 2.a) (Ámbito de aplicación) el procedimiento empleado para descartar los elementos especulativos del cálculo.
SECCIÓN 2.ª VALORACIÓN DE EDIFICIOSYELEMENTOSDEUNEDIFICIO
Artículo 44. Aplicación.
1. Lo establecido en esta sección será de aplicación a la valoración de edificios y elementos de edificios, estén o no terminados. Se aplicará igualmente a los edificios o elementos de edificios en proyecto, en construcción o rehabilitación para la hipótesis de edificio terminado.
2. No obstante lo señalado en el apartado anterior, los edificios en demolición, y los declarados legalmente en ruina, se valorarán con arreglo a lo establecido para la valoración de terrenos en la sección cuarta de este mismo capítulo II, salvo que sean calificados como fincas rústicas.
Artículo 45. Valor de tasación de edificios y elementos de edificios para el mercado
hipotecario y fondos de pensiones.
El valor de tasación de edificios y elementos de edificios para finalidades contempladas en las letras a) y d) del artículo 2 de esta Orden será el valor hipotecario; para su determinación se seguirán las siguientes reglas:
1. En los inmuebles en construcción o en rehabilitación:
a) El valor de tasación será el valor de reemplazamiento neto; no obstante, si las obras estuvieran paralizadas y no se prevé su reanudación a corto plazo, se tomará como valor de tasación el menor entre el valor de reemplazamiento y el residual del terreno y de la edificación realizada.
b) La valoración de los inmuebles en proyecto, construcción o rehabilitación para la hipótesis de edificio terminado se realizará, para la fecha prevista de terminación de las obras, siguiendo las reglas previstas en las letras a),
b), c) siguientes.
2. En los inmuebles terminados:
a) En los inmuebles ligados a una actividad económica se calcularán el valor por comparación, en su caso ajustado y, cuando sea posible, el valor
por actualización, y el valor de reemplazamiento neto, y se tomará, como valor de tasación, el menor de ellos. En el cálculo del valor por
actualización se tendrá en cuenta lo previsto en el artículo 30 de esta Orden, salvo cuando el inmueble esté arrendado en la fecha de la tasación
en cuyo caso podrá seguirse lo previsto en el artículo 28 o, si no existiera un mercado de alquileres que cumpla los requisitos previstos en el artículo 25.1.a) de esta Orden, lo previsto en su artículo 29.
b) En los inmuebles arrendados o que estando vacíos su destino sea el alquiler, con la excepción de las viviendas, se calcularán el valor por
actualización y el valor por comparación, en su caso ajustado, para el supuesto que estuviera libre de inquilinos, y se tomará, como valor de
tasación, el menor de ellos. En el cálculo del valor por actualización se tendrá en cuenta lo previsto en el artículo 28 de esta Orden, salvo cuando se trate de un inmueble que carezca de un mercado de alquileres que cumpla los requisitos previstos en el artículo 25.1.a) de esta Orden, en
cuyo caso, de estar arrendado en la fecha de la tasación, se seguirá el régimen previsto en el artículo 29.
Las reglas anteriores se aplicarán igualmente al conjunto de elementos de un edificio que constituyan una unidad funcional destinada por su
propietario al alquiler.
En el caso de viviendas que estén arrendadas en la fecha de la tasación se calcularán el valor por actualización, teniendo en cuenta lo previsto en el artículo 29, y el valor por comparación, en su caso ajustado, para el supuesto que se halle libre de inquilino, y se tomará, como valor de
tasación, el menor de ellos. Cuando no puedan calcularse los valores citados, el valor de tasación será, como máximo, el valor de reemplazamiento neto del inmueble.
c) En los restantes inmuebles no mencionados en las letras anteriores, es decir los edificios o elementos de edificios destinados a uso propio o vacíos y no ligados a una explotación, el valor de tasación será el valor por comparación, en su caso ajustado; cuando su cálculo no fuera posible se tomará el valor por actualización teniendo en cuenta lo previsto en el artículo 28, y si el cálculo de éste tampoco fuera posible, el valor de
tasación será, como máximo, el valor de reemplazamiento neto.
3. En los inmuebles acogidos a un sistema de protección pública, el valor de tasación, en ningún caso, será superior al valor máximo legal.
Artículo 46. Valor de tasación de edificios y elementos de edificios para Entidades aseguradoras.
El valor de tasación de edificios y elementos de edificios para finalidades contempladas en la letra b) cuando se refiera a entidades aseguradoras del artículo 2 se determinará siguiendo las siguientes reglas:
1. En los inmuebles en construcción o en rehabilitación:
– El valor de tasación será el valor inicial más el importe de las certificaciones de obra en la medida en que se vayan abonando y respondan a una efectiva realización de las mismas.
– El valor inicial a que se refiere el párrafo anterior será el valor de tasación del terreno en el caso de obras de nueva construcción o el valor de tasación del edificio o elemento de edificio antes del comienzo de las obras en el caso de edificios o elementos de edificios en rehabilitación.
2. En los inmuebles terminados:
a) En los inmuebles ligados a una actividad económica se calcularán el valor por comparación, el valor por actualización, y el valor de reemplazamiento neto, y se tomará, como valor de tasación, el menor de ellos.
En el cálculo del valor por actualización se tendrá en cuenta lo previsto en el artículo 30 de esta Orden, salvo cuando el inmueble esté arrendado en la fecha de la tasación en cuyo caso podrá seguirse lo previsto en el artículo 28 o, si no existiera un mercado de alquileres que cumpla los requisitos previstos en el 25.1.a) de esta Orden, lo previsto en su artículo 29.
b) En los inmuebles arrendados, el valor por actualización calculado según el procedimiento previsto en el artículo 29. El valor de tasación así hallado no podrá superar el valor por comparación del inmueble en el supuesto de que estuviera libre de inquilinos.
Cuando no puedan calcularse los valores citados, el valor de tasación será, como máximo, el valor de reemplazamiento neto del inmueble.
c) En los restantes inmuebles no mencionados en las letras anteriores, es decir los edificios o elementos de edificios destinados a uso propio o vacíos y no ligados una explotación económica, el valor de tasación será el valor por comparación ; cuando su cálculo no fuera posible se tomará el valor por actualización teniendo en cuenta lo previsto en el artículo 28, y si el cálculo de éste tampoco fuera posible, el valor de tasación será, como máximo, el valor de reemplazamiento neto.
3. En los inmuebles acogidos a un sistema de protección pública, el valor de tasación, en ningún caso, será superior al valor máximo legal.
Artículo 47. Valor de tasación de edificios y elementos de edificios para instituciones de inversión colectiva inmobiliarias.
El valor de tasación de edificios y elementos de edificios para la finalidad contemplada en el artículo 2.c) (Ámbito de aplicación) de esta Orden se determinará siguiendo las reglas que se citan a continuación:
1. En los inmuebles en proyecto, en construcción o en rehabilitación:
El valor de tasación será el valor que tendría el inmueble en la fecha de la tasación para la hipótesis de edificio terminado, calculado según las reglas del apartado siguiente. Dicho valor no podrá incorporar correcciones al alza para reflejar la tendencia del mercado en el plazo que reste hasta la finalización de las obras.
2. En los inmuebles terminados:
El valor de tasación será el menor entre el valor por comparación y el valor por actualización calculado según lo previsto en el artículo 28 (Flujos de caja de los inmuebles con mercado de alquileres) de esta Orden.
Cuando no existiera un mercado de alquileres que cumpla los requisitos previstos en el artículo 25.1.a) de esta Orden:
– Si el inmueble se encuentra arrendado en la fecha de la tasación, el valor de tasación será menor entre el valor por comparación y el valor por actualización calculado según lo previsto en el artículo 29 (Flujos de caja de otros inmuebles en arrendamiento) de esta Orden.
– En caso contrario, el valor de tasación será el menor entre el valor por comparación y el valor por actualización calculado según lo previsto en el artículo 30
(Flujos de caja de otros inmuebles en explotación económica) de esta Orden. En este caso, el valor de tasación no podrá ser superior a:
a) Al valor de reemplazamiento neto, si se está realizando una tasación previa a la adquisición del inmueble por la Institución de Inversión
Colectiva (en adelante, IIC), o
b) Al valor de adquisición del inmueble por la IIC si se está realizando la primera tasación con efectos en el cálculo del valor liquidativo, o
c) El último valor de tasación asignado al inmueble, cuando se hubiese podido calcular por otros procedimientos de acuerdo a lo previsto en este
artículo, para el resto de tasaciones sucesivas mientras el inmueble forme parte del patrimonio de la IIC.
En el caso de viviendas que estén arrendadas en la fecha de la tasación se calculará el valor por actualización según lo previsto en el artículo 29 y el valor por comparación para el supuesto de que se halle libre de inquilino. Se tomará como valor de tasación el menor de ellos.
3. Cuando no fuera posible el cálculo de ninguno de los valores señalados en los números anteriores el tasador podrá calcular el valor de tasación de acuerdo con lo previsto en el artículo 43.4 de esta Orden siempre que el procedimiento usado esté admitido en la práctica profesional para el cálculo del valor de mercado del inmueble en cuestión.
En todo caso dicho valor de tasación deberá respetar lo previsto en las letras a) b) y c) del apartado 2 de este artículo.
4. Cuando exista un valor máximo legal para el inmueble objeto de tasación, el valor de tasación no podrá ser superior a dicho valor máximo legal, excepto en el caso de viviendas de protección oficial en las que el fin del período de afección que reste sea
inferior a tres años desde la fecha de tasación. En este último caso, el valor de tasación no podrá ser superior al siguiente:
Donde:
VML: es el valor máximo legal.
VTL: es el valor de tasación de acuerdo con las normas del artículo 47 para
el inmueble en ausencia del régimen de Protección Oficial.
i: es el tipo de interés de la Deuda Pública a un plazo similar al que reste hasta el fin del período de afección, más la prima por iliquidez que el tasador considere razonable.
n: es el plazo que reste hasta el fin del período de afección.
SECCIÓN 3.ª VALORACIÓN DE FINCAS RÚSTICAS
Artículo 48. Aplicación.
Lo establecido en esta sección será de aplicación a la valoración de fincas rústicas incluidas aquellas con mejoras, instalaciones o edificios.
Artículo 49. Valor de tasación de fincas rústicas para todas las finalidades.
El valor de tasación de fincas rústicas se obtendrá sumando los siguientes valores:
a) El valor de tasación de la tierra, incluidos los distintos edificios e instalaciones no desmontables vinculados y necesarios para su explotación. Dicho valor será el menor entre el valor por comparación, en su caso ajustado, de las distintas clases de tierra, y el valor por actualización de la explotación.
b) El valor de tasación de los edificios o instalaciones destinados a explotaciones distintas de aquellas a las que se dedican los diferentes tipos de tierra. Dicho valor se obtendrá como si fueran inmuebles ligados a una explotación económica y será, como máximo, el valor de reemplazamiento neto.
c) El valor de tasación de otros edificios o instalaciones (residencias, recreativas, etc.). Dicho valor será el valor de tasación calculado de acuerdo con los artículos 45 (Valor de tasación de edificios y elementos de edificios para el mercado hipotecario y
fondos de pensiones), 46 (Valor de tasación de edificios y elementos de edificios para Entidades aseguradoras) y 47 (Valor de tasación de edificios y elementos de edificios para instituciones de inversión colectiva inmobiliarias) de esta Orden según la finalidad de la tasación.
SECCIÓN 4.ª VALORACIÓN DE SOLARES Y TERRENOS
Artículo 50. Aplicación.
1. Lo establecido en esta sección será de aplicación a la valoración de terrenos clasificados como urbanos y urbanizables y no urbanizables que no se valoren como fincas rústicas.
2. También se aplicará, justificándolo debidamente, a aquellos inmuebles construidos en los que no exista impedimento legal para su demolición y cuyo mayor y mejor uso sea el de terreno.
Artículo 51. Valor de tasación de terrenos para todas las finalidades.
1. El valor de tasación de los terrenos de nivel urbanístico I será el valor por comparación, en su caso, ajustado. Cuando su cálculo no fuera posible, el valor de tasación será el valor residual. En ambos casos se descontarán, cuando proceda, los gastos de demolición.
La existencia de un proyecto de construcción sobre un determinado terreno no permite valorar éste de manera diferente a la prevista en esta sección.
2. El valor de tasación de los terrenos sujetos a explotación económica distinta de la agropecuaria será el valor por actualización calculado por el procedimiento previsto en el artículo 30.
3. El valor de tasación en los restantes casos de terrenos catalogados como nivel urbanístico II será el valor por comparación sin consideración alguna a su posible utilización urbanística. Cuando el cálculo de dicho valor no fuera posible el valor de tasación será como máximo, el valor catastral del terreno.
4. Los valores a que se refiere el apartado 1 anterior se calcularán teniendo en cuenta el aprovechamiento urbanístico susceptible de apropiación por su propietario en la fecha de la tasación.
SECCIÓN 5.ª VALORACIÓN DE DETERMINADOS DERECHOS
Y DE LOS BIENES OBJETO DE LOS MISMOS
Artículo 52. Aplicación.
1. Lo establecido en esta sección será de aplicación a la valoración de determinados derechos reales o limitaciones que recaigan sobre un bien objeto de valoración de acuerdo con la presente Orden.
2. Los derechos y limitaciones a que se refiere el apartado anterior son:
a) El derecho de superficie.
b) La concesión administrativa.
c) La servidumbre.
d) La nuda propiedad, el usufructo, el uso y la habitación.
e) Limitaciones de dominio.
f) Las opciones de compra.
g) Tiempo compartido sobre inmuebles.
h) Compromisos de compra a plazos.
Artículo 53. Valoración de inmuebles sobre los que existe derecho de superficie.
1. Para valorar un edificio o elemento de edificio construido o a construir para la hipótesis de edificio terminado en ejercicio de un derecho de superficie sobre un terreno propiedad de un tercero, se podrá elegir cualquiera de los procedimientos indicados en las letras siguientes:
a) Se aplicarán, en función de la finalidad de la tasación, los artículos 45 (Valor de tasación de edificios y elementos de edificios para el mercado hipotecario y fondos de pensiones), 46 (Valor de tasación de edificios y elementos de edificios para Entidades aseguradoras) y 47 (Valor de
tasación de edificios y elementos de edificios para instituciones de inversión colectiva inmobiliarias) de esta Orden como si fueran inmuebles
en pleno dominio.
Del valor así obtenido se restarán:
i) El valor actual de los pagos a efectuar al concedente.
ii) El valor actual del valor de reversión calculado de acuerdo con el artículo 31.3 en la fecha de extinción del derecho de superficie.
b) Calculando el valor por actualización a que se refiere el artículo 24.2 de esta Orden. Para el cálculo de dicho valor se tendrán en cuenta además las precisiones siguientes:
i) Los pagos a efectuar al concedente por cualquier concepto.
ii) Las inversiones a efectuar por el concesionario en edificios o instalaciones.
iii) El período en que se generarán rentas o ingresos.
iv) La inexistencia de un valor de reversión para el concesionario.
2. Para valorar un derecho de superficie sobre un determinado terreno se aplicará el método residual por el procedimiento dinámico previsto en el artículo 36
(Procedimiento de cálculo «dinámico») de esta Orden teniendo en cuenta, en particular las cantidades a pagar por el superficiario durante la construcción y, en su caso, resto de duración del derecho, así como los cobros y pagos generados por la actividad económica asociada al derecho de superficie.
3. Para valorar la propiedad de un terreno sobre el que está constituido un derecho de superficie se sumará:
a) El valor actual de los pagos a efectuar al concedente.
b) El valor actual del valor de reversión calculado de acuerdo con el artículo
31.3 (Valor de reversión), en la fecha de extinción del derecho de superficie.
4. Las tasas de capitalización que se utilizan para calcular los valores citados en este artículo se determinarán de acuerdo con los artículos 32 y 38, según corresponda y deberán tomar en consideración, adicionalmente, las condiciones del derecho de superficie, especialmente en cuanto a las causas y plazo de extinción o resolución.
5. Sin perjuicio de lo señalado en los números anteriores, cuando existan datos suficientes sobre transacciones de inmuebles en derecho de superficie, o de derechos de superficie o de terrenos afectados por derechos de superficie en condiciones similares al que se valora, se podrá utilizar el método de comparación, siempre que se cumplan los requisitos del artículo 22 (Procedimiento de cálculo del valor por comparación) de esta Orden.
Artículo 54. Valoración de concesiones administrativas.
1. Para valorar un edificio o elemento de edificio construido o a construir para la hipótesis de edificio terminado sobre los que está constituida una concesión administrativa, se podrá elegir cualquiera de los procedimientos indicados en las letras siguientes:
a) Se aplicarán, en función del tipo de inmueble y de la finalidad de la tasación, los artículos 45 (Valor de tasación de edificios y elementos de
edificios para el mercado hipotecario y fondos de pensiones), 46 (Valor de tasación de edificios y elementos de edificios para Entidades aseguradoras) y 47 (Valor de tasación de edificios y elementos de edificios para instituciones de inversión colectiva inmobiliarias) y 49 (Valor de tasación de fincas rústicas) de esta Orden como si fueran inmuebles en pleno dominio.
Del valor así obtenido se restará:
i) El valor actual de los pagos a efectuar al concedente.
ii) El valor actual de reversión calculado de acuerdo con el artículo
31.3 en la fecha de extinción de la concesión administrativa.
b) Calculando el valor por actualización a que se refiere el artículo 24.2 de esta Orden. Para el cálculo de dicho valor se tendrán en cuenta además las precisiones siguientes:
i) Los pagos a efectuar al concedente por canon u otro concepto.
ii) Las inversiones a efectuar por el concesionario en edificios o instalaciones.
iii) Las tarifas del servicio público de la concesión y su previsible evolución.
iv) El período en que se generarán rentas o ingresos.
v) La inexistencia de un valor de reversión para el concesionario.
2. Para valorar una concesión administrativa sobre un determinado terreno se aplicará el método residual por el procedimiento dinámico previsto en el artículo 36 (procedimiento de cálculo dinámico) de esta orden teniendo en cuenta, en particular:
a) Las cantidades a pagar por el beneficiario de la concesión durante la construcción y en su caso durante el resto de la duración de la concesión.
b) Los cobros y pagos generados por la actividad económica asociada a la concesión.
3. Para valorar la propiedad de un terreno sobre el que está constituido una concesión administrativa se sumará:
a) El valor actual de los pagos a efectuar al concedente.
b) El valor actual de reversión calculado de acuerdo con el artículo 31.3 en la fecha de extinción de la concesión administrativa.
4. Las tasas de actualización que se utilicen para calcular los valores actuales citados en este artículo se determinarán de acuerdo con los artículos 32 y 38, según corresponda y deberán tomar en consideración adicionalmente las condiciones de la concesión administrativa sobre causas y plazos de extinción o resolución, así como de las tarifas del servicio público de la concesión y su posible evolución.
5. Sin perjuicio de lo señalado en los números anteriores cuando existan datos suficientes sobre transacciones de inmuebles en concesión administrativa, o deconcesiones administrativas o de terrenos afectados por concesiones administrativas, en condiciones similares al que se valora, se podrá utilizar el método de comparación, siempre que se cumplan los requisitos del artículo 22 (procedimiento de cálculo del valor por comparación) de esta Orden.
Artículo 55. Valoración de la servidumbre.
1. Las servidumbres contempladas en el Título VII del libro segundo del Código Civil, se valorarán restando del valor del inmueble, supuesto libre de la carga impuesta por la servidumbre, el valor de dicho inmueble teniendo en cuenta el efecto de la
servidumbre que lo grava.
2. Los valores a que se refiere el apartado anterior se calcularán aplicando el método correspondiente contemplado en la presente Orden.
Artículo 56. Valoración de la nuda propiedad, del usufructo, del uso y la habitación.
El valor de la nuda propiedad, del usufructo, del uso y de la habitación se determinará conforme a las siguientes reglas:
1.º) Se calculará la base para el prorrateo que será el valor por actualización según el procedimiento previsto en el artículo 28 (Flujos de caja de los inmuebles con mercado de alquileres) de esta Orden.
2.º) La distribución de la base de prorrateo entre el usufructo y la nuda propiedad será la siguiente:
Usufructo: valor actual actuarial de los flujos de caja durante el período que se mantiene el derecho.
Nuda propiedad: diferencia entre la base de prorrateo y el valor actual anterior.
Consideraciones para el cálculo del usufructo:
a) usufructo constituido a favor de una sola persona:
a.1) si el usufructo es temporal: se calculará el valor actual actuarial de una renta cuya duración sea la temporalidad no transcurrida, para una
cabeza de la edad del usufructuario
a.2) si el usufructo es vitalicio: se calculará el valor actual actuarial de una renta vitalicia para una cabeza de la edad del usufructuario.
b) usufructo constituido a favor de más de una persona:
b.1) si el usufructo es temporal: se calculará el valor actual actuarial de una renta cuya duración sea la temporalidad no transcurrida, considerando las probabilidades de supervivencia del grupo y su casuística de extinción según los órdenes de fallecimiento.
b.2) si el usufructo es vitalicio: se calculará el valor actual actuarial de una renta vitalicia, considerando las probabilidades de supervivencia del grupo y su casuística de extinción según los órdenes de fallecimiento.
d) los cálculos anteriores se realizarán con las tablas de supervivencia que
cumplan los requisitos establecidos en el artículo 34.1, apartados a), b), c),
e) y último inciso, del Reglamento de Ordenación y Supervisión de los Seguros Privados, aprobado por Real Decreto 2486/1998, de 20 de noviembre.
Hallados los valores actuales del usufructo y de la nuda propiedad, cuya suma tiene que ser igual a la base de prorrateo, se determina la proporción que estos valores tienen.
3.º) El valor del usufructo y de la nuda propiedad será la resultante de aplicar al valor de tasación del inmueble conforme a esta Orden ministerial la proporción correspondiente determinada en el párrafo anterior.
4.º) El valor del derecho de uso y habitación se obtendrá dividiendo el valor del derecho de usufructo, calculado conforme a las reglas anteriores, por 1,12.
Artículo 57. Valoración de las limitaciones del dominio.
1. Las prohibiciones y las limitaciones generales o particulares de la plena propiedad o de la libre utilización de los inmuebles, diferentes a las señaladas en los artículos 53 (Valoración de inmuebles sobre los que existe derecho de superficie), 54
(Valoración de concesiones administrativas), 55 (Valoración de la servidumbre) y 56 (Valoración de la nuda propiedad, del usufructo, del uso y la habitación) de esta Orden, se tendrán en cuenta en la valoración de éstos.
2. La valoración de las limitaciones se determinará aplicando los métodos previstos en el capítulo I de este Título, que correspondan al contenido jurídico de la limitación del dominio, aplicados a la cuantía en la que la propiedad quede afectada.
3. El valor del inmueble vendrá determinado por la diferencia entre el obtenido como si no existiera la limitación del dominio, y el valor de ésta.
Artículo 58. Valoración de opciones de compra.
Las opciones de compra sobre inmuebles que se valoren a los efectos del artículo 2.c) (Ámbito de aplicación) de esta Orden, lo harán considerando el valor del inmueble, los plazos y las condiciones de la ejecución de la opción que figuren en la documentación que regule el derecho de opción.
El valor de la opción se determinará conforme a las siguientes reglas:
a) Si la diferencia entre el valor del inmueble en la fecha de la tasación calculado según lo previsto en el artículo 47 (Valor de tasación de edificios y elementos de edificios para instituciones de inversión colectiva inmobiliarias) de esta Orden y el precio de ejecución de la opción sobre el inmueble, es positiva, el valor de la opción será equivalente a esa diferencia.
b) Si la mencionada diferencia fuera negativa o nula el valor de la opción será nulo.
c) En cualquiera de los casos en los que la opción, su plazo de ejecución o el importe por el que se puede ejecutar, estén condicionados a situaciones o plazos que hagan improbable su ejercicio, en opinión de la entidad tasadora, su valor será nulo.
Artículo 59. Valoración de inmuebles con tiempo compartido.
1. Los inmuebles que sean total o parcialmente objeto del derecho previsto en la Ley 42/1998, de 15 de diciembre, sobre derechos de aprovechamiento por turno de bienes inmuebles de uso turístico y normas tributarias, se valorarán en la parte sujeta a este derecho de acuerdo con las siguientes reglas:
a) Se determinará el valor de todos los periodos susceptibles de cesión del inmueble sujeto total o parcialmente a este derecho, estén cedidos o no, por el método de actualización de rentas, utilizando como interés el de la deuda pública de duración más próxima al número de años restantes para la finalización del régimen.
b) Se determinará el valor de cada período cedido de cada elemento de edificio sujeto a este derecho por el método de actualización de rentas, sin
considerar el valor de reversión y utilizando como interés el de deuda pública de duración más próxima al número de años restantes para la finalización del contrato.
c) En ambos casos los flujos de caja se calcularán según lo previsto en el artículo 28 teniendo en cuenta las rentas medias de inmuebles arrendados
comparables, considerando la época del año a que se refieran que deberá de ser la misma que la del periodo cuyo valor se pretende obtener.
2. Para la obtención del valor del inmueble sujeto total o parcialmente a este derecho y del que se han cedido determinados periodos se restará del valor obtenido en el punto 1.a) la suma de valores obtenidos en el punto 1.b) y se calculará la proporción que representa sobre el valor obtenido en el punto 1.a). Para la obtención del valor de uno o más periodos cedidos se determinará la proporción que representa sobre el valor obtenido en el punto 1.a).
3. Se multiplicará, según el caso, la proporción así hallada por el menor entre el valor por comparación, el valor por actualización calculado según el procedimiento del artículo 28 y el valor de reemplazamiento neto del inmueble, en el supuesto de que no existiera este derecho.
Artículo 60. Valoración de compromisos de compra a plazos.
1. Los compromisos de compra a plazo sobre inmuebles que se valoren a los efectos del artículo 2.c) (Ámbito de aplicación) de esta Orden, se valorarán considerando el valor del inmueble, el plazo y las condiciones del contrato que figuren en la documentación que regule dicho compromiso.
2. El valor del compromiso se determinará como diferencia entre el valor del inmueble en el momento de la tasación, calculado conforme a lo previsto en el artículo 47 (Valor de tasación de edificios y elementos de edificios para instituciones de inversión
colectiva inmobiliaria) de esta Orden, y el precio pactado en el contrato de compra a plazo actualizado, utilizando como tasa de actualización el tipo de interés de la deuda pública con duración más próxima al plazo restante para el ejercicio del compromiso.
TÍTULO III
Elaboración de informes y certificados de tasación
CAPÍTULO I
Disposiciones generales
Artículo 61. Principios y reglas generales.
1. Las entidades de crédito que dispongan de servicios de tasación y las sociedades de tasación homologadas deberán elaborar los informes y certificados de tasación de acuerdo con las siguientes reglas generales:
a) Redactarlos con veracidad y transparencia.
b) Indicar explícitamente y de forma notoria si la tasación se ha realizado o no de acuerdo con las disposiciones contenidas en la presente Orden.
En todo caso, se citará dicha Orden con su denominación completa y se indicará la fecha del Boletín Oficial del Estado en que haya sido publicada.
2. Cuando el informe se elabore para las finalidades previstas en el artículo 2 (Ámbito de aplicación) de esta Orden, sus aspectos formales y estructurales se ajustarán a lo establecido en los artículos siguientes.
En todos los casos en los que la presente Orden prevea la adopción de una decisión u opción determinada junto a su justificación razonada, esta justificación se hará constar de forma expresa en el informe de tasación, y en el correspondiente certificado cuando así proceda por estar incluidas en el mismo las informaciones a que se haya aplicado la decisión u opciones citadas. Cuando la norma prevea una justificación destacada se hará uso de un tipo de letra diferente u otros procedimientos que llamen la atención del lector.
3. El informe y certificado de la actualización de una tasación se realizará con las mismas exigencias que las de cualquier otra tasación y deberá contener además la identificación de la tasación anterior a la que actualiza.
Artículo 62. Emisión y caducidad de las tasaciones.
1. La fecha de emisión de un informe o certificado de tasación no podrá ser posterior en más de dos meses a la fecha en que se haya efectuado la última inspección ocular del bien valorado.
2. No obstante, en el caso de los terrenos, o en otros excepcionales y expresamente justificados en el informe, tales como la valoración de patrimonios, dicho período podrá alargarse hasta los seis meses.
3. A efectos de esta Orden la fecha de emisión será considerada como la fecha de la tasación.
4. Los informes y certificados caducarán, necesariamente, a los seis meses contados desde la fecha en que haya sido emitido el informe.
CAPÍTULO II
Aspectos formales
SECCIÓN 1.ª ASPECTOS FORMALES ESPECÍFICOS DEL CERTIFICADO
Artículo 63. Requisitos del certificado.
1. El certificado de tasación se elaborará de acuerdo con la forma y contenido mínimo siguiente:
a) Se indicará la denominación social de la sociedad de tasación o de la entidad financiera que lo emita, y su número de inscripción en el Registro del Banco de España.
Se confeccionará en papel con el membrete de la sociedad de tasación o de la entidad financiera que lo emite, con mención del apartado de páginas que lo componen. Alternativamente también podrá confeccionarse y archivarse por medios electrónicos en soporte duradero siempre que esté asegurada la identificación de la entidad que la emite y la conservación de su integridad para ulterior consulta.
b) Indicará la finalidad legal de la tasación.
c) Incluirá una referencia precisa al informe de tasación que sintetiza.
d) Contendrá la localización y tipo de inmueble, su identificación registral,la referencia catastral siempre que se conozca, la superficie útil cuando se trate de edificios y sea comprobable, la superficie adoptada en el cálculo de los valores técnicos y su estado de ocupación y salvo a efectos de la finalidad del artículo 2.a) (Ámbito de aplicación), el titular registral en el momento de la tasación.
e) Incluirá una declaración expresa de que la tasación se ha realizado de acuerdo con los requisitos de esta Orden u otra normativa aplicable según la finalidad de la tasación.
f) Indicará el método o métodos de valoración utilizados, así como los valores estimados para cada método.
g) Indicará el valor de tasación del inmueble así como las limitaciones al dominio que se mencionaran específicamente y el valor a efectos de seguro de incendios y otros daños.
Cuando se refiera a varios inmuebles que constituyan fincas registrales o funcionales independientes deberá especificar el valor de tasación que se asigna a cada una de ellas.
h) Indicará, en su caso, los condicionantes y advertencias a que se refieren los artículos 10 (Condicionantes), 11 (Advertencias generales) y 12 (Advertencias específicas) de esta Orden.
i) Se indicará su fecha de emisión, la fecha de la última visita al inmueble y la fecha límite de validez.
j) Se firmará por un representante de la entidad que emita el certificado o de la entidad financiera a cuyos servicios pertenezca el tasador. La firma será autógrafa, mecanizada o electrónica en cuyo caso cumplirá la normativa vigente sobre firma electrónica, correspondiendo a la entidad tasadora establecer los procedimientos que aseguren la inalterabilidad de los documentos en que se estampa.
k) Contendrá cualquier otra información que sea requerida, por la normativa específica según la finalidad de la tasación.
SECCIÓN 2.ª ASPECTOS FORMALES ESPECÍFICOS DEL INFORME
Artículo 64. Requisitos formales del informe.
El informe se elaborará con los siguientes requisitos formales:
a) Se indicará la denominación social de la sociedad de tasación o de la entidad financiera que lo emita, y su número de inscripción en el Registro del Banco de España.
Se confeccionará en papel con el membrete de la sociedad de tasación o de la entidad financiera que lo emite, con mención del apartado de páginas que lo componen.
Alternativamente también podrá confeccionarse y archivarse por medios electrónicos en soporte duradero siempre que esté asegurada la identificación de la entidad que la emite y la conservación de su integridad para ulterior consulta.
b) Se elaborará conforme a la estructura y contenido previstos en los artículos 65 (Estructura general de los informes de tasación) y siguientes.
c) Se firmará por un representante de la entidad tasadora y por el profesional competente que haya realizado el informe, de acuerdo con lo establecido en el artículo
2.2 del Real Decreto 775/1997, de 30 de mayo.
Necesariamente una de las dos firmas será autógrafa o electrónica, en cuyo caso cumplirán la normativa vigente sobre firma electrónica correspondiendo a la entidad
tasadora establecer los procedimientos que aseguren la inalterabilidad de los documentos en que se estampa.
Cuando el profesional competente que haya realizado el informe no sea el mismo que haya realizado la visita e inspección ocular del inmueble objeto de valoración, el informe indicará además los datos profesionales y personales del profesional competente que la haya realizado, especificando tal circunstancia.
CAPÍTULO III
Aspectos estructurales
Artículo 65. Estructura general de los informes de tasación.
1. Los informes de tasación se elaborarán y presentarán de acuerdo con la estructura que se especifica en este artículo. Dicha estructura contendrá como mínimo los siguientes apartados:
a) Solicitante de la tasación y finalidad.
b) Identificación y localización.
c) Comprobaciones y documentación.
d) Localidad y entorno.
e) Descripción y superficie del terreno.
f) Descripción y superficie de la edificación.
g) Descripción urbanística.
h) Régimen de protección, tenencia y ocupación.
i) Análisis de mercado.
j) Datos y cálculo de los valores técnicos.
k) Valores de tasación.
l) Condicionantes y advertencias m) Observaciones.
n) Fecha de emisión, caducidad y firmas.
o) Documentación anexa al informe.
2. Los apartados señalados en el apartado anterior se rellenarán teniendo en cuenta el principio de proporcionalidad, según el tipo de inmueble que sea objeto de valoración y en ellos se expresará como mínimo el contenido que se indica en los
artículos siguientes.
Artículo 66. Solicitante y finalidad.
1. En este apartado del informe se indicará:
a) El cliente de la entidad tasadora.
b) La finalidad para la cual se haya hecho la tasación.
c) Si la tasación se ha realizado siguiendo las disposiciones contenidas en la presente Orden, citando la Orden con su denominación completa y la
fecha del Boletín Oficial del Estado en que haya sido publicada.
2. Cuando la finalidad de la tasación sea la prevista en el artículo 2.a) (Ámbito de aplicación) de esta Orden, se indicará además la entidad que haya sido mandatario del cliente para su encargo.
Artículo 67. Identificación y localización.
En este apartado del informe se indicará:
a) Si se valora un solo edificio o elemento de edificio o a varios agrupados en un único complejo, o en el mismo edificio.
b) Si se trata de un inmueble terminado, en proyecto, construcción o en rehabilitación.
c) Los datos correspondientes a la localización del inmueble objeto de valoración, así como los de su identificación registral o en su caso y siempre que se conozcan, catastral.
d) Cuando el objeto de la valoración sea una finca rústica o un terreno no urbanizable se expresará, además de lo señalado en la letra anterior, el
pago o paraje, término municipal, comarca y provincia en que se encuentre dicha finca, así como el nombre con que figura en el Registro de la
Propiedad y, cuando sea diferente, aquel por el que se le conoce habitualmente.
Artículo 68. Comprobaciones y documentación.
En este apartado del informe se indicará la relación de las comprobaciones realizadas por la entidad tasadora para la confección del informe y la relación de los documentos utilizados.
Artículo 69. Localidad y entorno.
1. En el apartado localidad y entorno se expresarán las características básicas de ambos que puedan influir en la valoración, por ejemplo, el tipo de núcleo, su ocupación laboral predominante, su población de derecho y evolución reciente, así como las características básicas de la localidad de la que dependa cuando exista.
2. Cuando el objeto de la valoración sea un edificio, un elemento de un edificio o un terreno, entre las características básicas del entorno se indicarán por ejemplo: el nivel de renta, los rasgos de homogeneidad arquitectónica y usos dominantes, infraestructuras, equipamiento y servicios, sus comunicaciones, aparcamientos, el nivel de desarrollo edificatorio del entorno, su antigüedad característica, la renovación experimentada recientemente, etc.
3. Cuando el objeto de la valoración sea una finca rústica, entre las características básicas del entorno se indicarán, por ejemplo: las explotaciones características, su densidad de población, sus equipamientos y servicios, en particular los que permitan o faciliten la explotación agraria, su infraestructura, etc.
Artículo 70. Descripción y superficie del terreno.
1. Cuando el objeto de valoración sea un edificio o un terreno de carácter urbano, en este apartado del informe se indicará:
a) La superficie del terreno comprobada por el tasador, la que figure en la documentación registral utilizada y, siempre que se conozca, la superficie catastral.
b) Las obras de infraestructura exteriores del terreno de las que esté dotado, así como de las pendientes de realizar en el momento de la
tasación, expresando una estimación del porcentaje de obra realizada y de la inversión pendiente.
2. Cuando el objeto de valoración sea un elemento de un edificio, no será necesario exponer la información prevista en este artículo, excepto que por su trascendencia sobre el valor del inmueble se considere relevante.
3. Cuando el objeto de valoración sea una finca rústica, se indicará:
a) La superficie del terreno comprobada por el tasador, detallando el tipo de comprobaciones realizadas, la que figure en la documentación registral utilizada y, en su caso, la superficie catastral.
b) La superficie aproximada destinada a los distintos aprovechamientos agrarios y, en su caso, la dedicada a otros fines (residenciales, recreativos, otras explotaciones económicas, etc.).
c) Las infraestructuras interiores de que dispone (agua, caminos, energía eléctrica, etc.).
d) En relación con el suelo, los factores de textura, profundidad, pedregosidad, salinidad y pendiente, indicando las clases agrológicas.
e) En las fincas donde existan explotaciones de regadío, la procedencia de las aguas, caudales, calidad, sistema de extracción y distribución en la
finca según el sistema de riego.
f) En el caso de que existan características especiales se señalarán aquellas que influyan en su valor, tales como su especial ubicación, circunstancias paisajísticas, ecológicas, cinegéticas.
g) Las alternativas seguidas para las rotaciones de cultivo y sus características.
Artículo 71. Descripción y superficie de la edificación.
1. Cuando el objeto de valoración sea un edificio, se indicará:
a) La distribución de las edificaciones y servicios en la parcela, la tipología de la edificación, la superficie total, señalando si es la útil o la construida con o sin partes comunes, el apartado de plantas, distribución básica, usos y superficie de cada una de ellas, existencia de elementos comunes, servicios generales internos, y atendiendo a sus usos, las circunstancias específicas más relevantes para cada uno de ellos. Siempre que sea comprobable se indicará la superficie útil.
b) Los elementos fundamentales de la edificación (cimentación, estructura, cubierta, cerramientos exteriores, carpinterías exteriores, etc.), las
instalaciones relevantes (fontanería, calefacción, aire acondicionado, gas, electricidad, ascensores, prevención de incendios, etc., así como las
terminaciones y acabados relevantes.
c) En el caso de edificios en construcción o rehabilitación, las características de los apartados anteriores se referirán, en la parte de la
obra que aún no esté ejecutada, al proyecto que haya servido de base para la concesión de la licencia municipal.
También se expresará en qué fase se encuentran las obras, indicando una estimación del porcentaje de obra ejecutada.
d) En el caso de edificios destinados al uso comercial o industrial se indicarán también las características y elementos constructivos que limiten
o dificulten usos distintos a los existentes, los acabados, instalaciones o elementos constructivos recuperables, relevantes y utilizables
previsiblemente por un tercero o polivalentes.
También se expresará si se encuentra terminado en bruto (estructura y acometida de instalaciones) o si se encuentra acondicionado para la
actividad correspondiente.
2. Cuando el objeto de valoración sea un elemento de un edificio se indicará:
a) Su superficie, indicando si es la útil o la construida con o sin partes comunes, distribución y dependencias, situación relativa y características básicas del edificio del que forme parte, las características específicas que sean relevantes para cada uno de sus usos y, cuando existan, sus anexos con su superficie.
b) Sus características constructivas e instalaciones relevantes o que afecten al valor.
3. Cuando el objeto de valoración sea un terreno de carácter urbano, se indicará si existen sobre él edificaciones y en el caso de que existan y no esté prevista su demolición se describirá su uso, superficie y principales características constructivas.
4. Cuando el objeto de valoración sea una finca rústica, se indicará:
a) Las edificaciones, instalaciones y mejoras permanentes existentes, distinguiendo las necesarias para la explotación agraria y/o ganadera y
forestales, las que produzcan rendimiento por sí mismas por estar ligadas a una explotación económica distinta de la explotación agraria del terreno y otras edificaciones no incluidas en los tipos anteriores, como, por ejemplo, las viviendas.
b) Para cada una de las edificaciones se describirá su uso, distribución, superficie y principales características constructivas, consignando la
adecuación y suficiencia.
5. Para todo tipo de edificaciones y para las instalaciones agrarias o de otra naturaleza, se expresará su antigüedad y vida útil estimadas, el estado de conservación y los deterioros aparentes existentes.
Artículo 72. Descripción urbanística.
1. Cuando el objeto de valoración sea un edificio o un elemento de un edificio, se indicará:
a) El grado de adecuación de sus características físicas y usos a que está destinado, a la normativa urbanística vigente, así como si está sujeto a
algún tipo de protección urbanística o histórica individualizada.
b) En particular, cuando se trate de edificios, se indicará si son o no conformes con el planeamiento.
2. Cuando el objeto de valoración sea un terreno de carácter urbano, se expresará:
a) El planeamiento general de ordenación vigente y, en su caso, el planeamiento de desarrollo necesario según la legislación urbanística aplicable, la fase de aprobación en la que se encuentra, los plazos previsibles para su aprobación definitiva, teniendo en cuenta, en su caso, su inclusión dentro de un ámbito de gestión.
b) La clasificación urbanística que corresponda al terreno: urbano, urbanizable o no urbanizable, o en su caso, clases equivalentes reguladas
por la legislación urbanística. Cuando el terreno objeto de valoración sea clasificado como urbano, se expresará además si tiene o no naturaleza de solar.
c) La calificación urbanística, los usos autorizados y prohibidos, la tipología e intensidad edificatoria y sus condiciones (índices de aprovechamiento y de edificabilidad neta y/o bruta, alturas permitidas, ocupación máxima,
retranqueos, etc.).
d) El aprovechamiento urbanístico de acuerdo con su ámbito de reparto y ámbito de gestión y ejecución. A este respecto se indicará:
– La superficie realmente construible por el propietario del terreno.
– El sujeto a quien corresponda la iniciativa de la gestión (cualquiera de las diferentes administraciones, particulares, etc.).
– El sistema y modo de gestión según la legislación urbanística aplicable.
– Las cargas urbanísticas (cesiones, costes de urbanización, obligaciones adquiridas, etc.) que afecten al terreno, atendiendo, en su caso, al ámbito de gestión en el que se encuentre. En este caso, se indicará también la proporción que la superficie del terreno representa sobre la superficie total del ámbito de gestión al que pertenezcan. Cuando se hayan iniciado las obras de urbanización, se indicará su estado.
– Los instrumentos de planeamiento y/o gestión, y los trámites de los mismos, necesarios para que el terreno pueda considerarse solar.
– En el caso de estar establecidos, los plazos de ejecución previstos para el desarrollo urbanístico del terreno fijados en el documento
correspondiente de programación según legislación aplicable y, en particular, las consecuencias que pudieran afectar al valor del terreno en caso de incumplimiento.
– En el caso de que el terreno esté dentro de un ámbito sujeto a expropiación forzosa, se indicarán los criterios legales aplicables a su valoración y el estado del procedimiento expropiatorio.
3. Cuando el objeto de la valoración sea una finca rústica, se indicará la clasificación del suelo y, en su caso, su régimen de protección especial.
Artículo 73. Régimen de protección, tenencia y ocupación.
En este apartado, se indicará para el inmueble que se valora:
a) El estado de ocupación y, en caso de estar ocupado, el título en virtud del cual lo está, así como sus características y plazo de vigencia.
b) Cuando el inmueble tenga o esté destinado a una explotación económica se indicarán las características de la actividad o explotación económica albergada o prevista por la propiedad.
c) Cuando exista algún derecho u obligación que afecte al contenido del derecho real de propiedad del inmueble, se describirán sus características y efecto sobre el valor.
d) Cuando se valore un inmueble que tenga alguna limitación legal, urbanística o protección pública que limite directa o indirectamente su precio de venta, se indicará expresamente el hecho y el efecto sobre el valor.
Artículo 74. Análisis de mercado.
En este apartado se describirán las características del segmento del mercado inmobiliario relativo a los bienes comparables al que sea objeto de valoración, cuando exista. También se indicarán las diferencias apreciadas entre el valor de mercado y el valor hipotecario en ese segmento del mercado.
Según el caso, contendrá datos relativos a la oferta, a la demanda, a los intervalos de precios actuales de venta al contado o de alquiler y a las expectativas de oferta-demanda y de revalorización.
Artículo 75. Datos y cálculo de los valores técnicos.
1. En este apartado se indicarán los métodos de tasación y los criterios utilizados, así como los cálculos realizados para determinar el valor. Además se informará de aquellos datos que sean necesarios para realizar dicho cálculo y no hayan sido incluidos en los apartados precedentes. Dichos criterios y datos estarán en función del método de valoración empleado y serán, como mínimo, los señalados en los números siguientes de
este artículo.
2. Cuando se utilice el método de comparación, los datos mínimos a que se refiere el apartado anterior serán:
a) Los datos de al menos seis inmuebles comparables utilizados para aplicar el método, indicando para cada uno de ellos, como mínimo, la
Provincia, Municipio y, en su caso, el Código postal, la calle y, para los edificios que no sean viviendas unifamiliares, su número.
b) Para cada inmueble los parámetros, los coeficientes y/o ponderaciones y/o desarrollo estadístico utilizados para realizar la homogeneización de
precios.
3. Cuando se utilice el método de actualización, los datos mínimos a que se refiere el apartado 1 de este artículo serán, en su caso:
a) Información utilizada para fijar las rentas esperadas. En el caso de que se trate de datos puntuales de comparables se indicarán para cada uno de ellos, como mínimo, los datos utilizados para realizar la homogeneización de rentas.
b) Las ratios medias empleadas en el caso de inmuebles ligados a una explotación económica y las fuentes utilizadas.
c) Detalle de los flujos de caja empleados en el cálculo, de la vida útil y la tasa de actualización elegidas y del valor residual.
4. Cuando se utilice el método residual, los datos mínimos a que se refiere el apartado 1 serán:
a) Los valores en venta de los productos inmobiliarios correspondientes.
b) Los costes de construcción utilizados.
c) Los plazos de ejecución y venta en el caso del método residual por el procedimiento dinámico.
d) La tasa de actualización elegida en el caso del método dinámico o del margen en el caso del método estático.
e) Detalle de los flujos de caja empleados en el cálculo en el caso del método residual por el procedimiento dinámico.
5. En los casos en los que el valor se calcule por algún método relacionado con el método de coste y cuando se calcule el valor de inmuebles en construcción, los datos a que se refiere el apartado 1 serán:
a) Los costes de construcción utilizados.
b) La información correspondiente al método elegido para calcular el valor del suelo.
Artículo 76. Valores de tasación, condicionantes y advertencias.
En este apartado se expresarán:
a) Los valores técnicos resultantes para cada inmueble objeto de valoración.
b) El valor de tasación que resulta teniendo en cuenta el objeto y finalidad de la valoración.
c) Los condicionantes o advertencias que pudieran existir conforme a lo previsto en el Capítulo III del Título I de la presente Orden.
d) Las limitaciones a los valores, si las hubiera.
e) El valor mínimo del seguro de incendios y otros daños al continente previstos en la Disposición Adicional Primera.
Artículo 77. Fecha de emisión, caducidad y firmas.
En este apartado se incluirán:
a) Fecha de la última visita al inmueble.
b) La fecha de emisión del informe.
c) La fecha de caducidad del informe.
d) Nombre, firmas y titulación o cargo de quienes suscriben el informe y nombre y titulación de los restantes técnicos especializados que hayan
intervenido directamente en la tasación.
Artículo 78. Documentación anexa al informe.
1. En este apartado se incluirá al menos la siguiente documentación gráfica:
a) Planos a escala o croquis de situación y emplazamiento del inmueble en el municipio.
b) Planos a escala o croquis acotados del inmueble.
c) Aquella otra que a juicio del tasador permita definir e identificar suficientemente las características del inmueble (secciones, fotografías,
etc.).
2. También se incluirá al menos la siguiente documentación no gráfica:
a) Documento utilizado para la identificación registral, o catastral en su caso.
b) Copia de la licencia de obras en los edificios en construcción o rehabilitación.
c) En los edificios en proyecto, en construcción o rehabilitación, un resumen del presupuesto de ejecución material.
d) Copia de la cédula de calificación o documento que determine o permita determinar el valor máximo legal en los edificios en construcción sujetos a protección pública.
e) Copia del certificado de titularidad y cargas, cuando dicho documento sea de uso obligatorio para la tasación.
f) En inmuebles arrendados, copia del contrato de arrendamiento o en su defecto título de la ocupación y excepto para la finalidad prevista en el
artículo 2.a) (Ámbito de aplicación) de esta Orden, certificado del propietario de la situación de ocupación, rentas vigentes y su estado de
pago, y de los gastos imputables al inmueble durante el último año.
g) Copia del Balance y Cuenta de Resultados de los últimos tres años en el caso de inmuebles ligados a una explotación económica.
3. El contenido de los puntos anteriores se podrá integrar total o parcialmente en los diferentes epígrafes del informe de tasación, si ello mejora su lectura.
4. En los casos de escrituras o documentos técnicos extensos, se podrá adjuntar la carátula identificativa de los mismos, o su información más representativa.
TÍTULO IV
Disposiciones especiales
CAPÍTULO I
Cobertura de provisiones técnicas de entidades aseguradoras
Artículo 79. Ámbito de este Capítulo.
Las disposiciones especiales recogidas en este capítulo tendrán como ámbito exclusivo de aplicación la valoración para la finalidad prevista en el artículo 2.b) (Ámbito de aplicación) de esta Orden.
Los inmuebles podrán ser valorados por los servicios técnicos de la Dirección General de Seguros y Fondos de Pensiones o por una entidad de tasación autorizada para la valoración de bienes en el mercado hipotecario (en adelante entidad tasadora autorizada) con arreglo a las normas que a tal efecto se establecen en la presente Orden, sin perjuicio de las comprobaciones que pueda realizar la Dirección General de Seguros y
Fondos de Pensiones de las valoraciones efectuadas por las citadas entidades tasadoras autorizadas.
Artículo 80. Valoraciones realizadas por los Servicios Técnicos de la Dirección General de
Seguros y Fondos de Pensiones.
1. La entidad aseguradora que pretenda la valoración de un inmueble o de un derecho real inmobiliario por los Servicios Técnicos de la Dirección General de Seguros y Fondos de Pensiones deberá presentar en dicho Centro Directivo solicitud telemática o no telemática firmada por su representante legal y remitir los siguientes documentos:
a) Documento público que acredite la adquisición del inmueble, el precio del mismo y la forma de pago.
Si la escritura pública correspondiese a la adquisición de varios inmuebles y figurase en la misma un precio conjunto para ellos, la entidad deberá
acompañar certificación expedida por su representación legal en la que se haga constar el precio individualizado del inmueble o inmuebles cuya
valoración se solicite.
b) Original o copia legalizada de la certificación registral señalada en el artículo 8.1 (Documentación disponible) de esta Orden.
c) Documentación gráfica a que se refiere el artículo 78.1 (Documentación anexa al informe) de esta Orden.
d) Certificado de las obras de mejora o acondicionamiento, si se hubiesen realizado después de la adquisición del inmueble, comprensiva al detalle de las mismas y de su valoración, firmada por el contratista que las haya realizado.
e) Certificación expedida por el representante legal de la entidad aseguradora, en la que se haga constar el régimen de ocupación y tenencia del inmueble, es decir, si se encuentra ocupado o desocupado, destinado a uso propio o en arrendamiento. Si el inmueble estuviese total o parcialmente arrendado se indicará: la superficie y localización de la zona arrendada, la renta líquida anual producida en total, y, en su caso, la producida por cada una de las partes, la duración del contrato, si existe derecho de adquisición preferente a favor del arrendatario y las condiciones
pactadas y demás cláusulas especiales si las hubiera.
Si el inmueble se encuentra ocupado sin título, cedido en precario, o en cualquier otra situación que implique la ocupación del mismo, en dicha
certificación se hará constar si la ocupación ha sido formalizada mediante algún tipo de contrato o bien ha sido pactada verbalmente y en qué
términos, en cualquier caso se concretará detalladamente la situación existente con el ocupante de forma que permita conocer cuál es el título
actual de ocupación del inmueble.
f) En el caso de inmuebles en construcción o rehabilitación la entidad aportará certificación del acuerdo adoptado por el órgano social
competente comprometiéndose a finalizar la construcción en el plazo de cinco años y certificación de la propia entidad aseguradora de los pagos
realizados.
g) Los documentos señalados en las letras c), f), g), h) e i) del artículo 8 (Documentación disponible) de esta Orden, en los casos en que resulten de aplicación y cualquier otro documento que la entidad que tasa crea necesario para la realización de la tasación.
h) Certificación expedida por la entidad que asegura el inmueble en la que se haga constar el apartado de póliza contratada, que el inmueble se
encuentre asegurado contra el riesgo de incendios y otros daños al continente, ubicación del riesgo asegurado para cada finca registral y que
la póliza se encuentre al corriente de pago de la prima.
i) Para el caso de derechos reales inmobiliarios la entidad deberá aportar además de la certificación registral señalada en la letra b) de este
apartado, en la que el derecho real se halle inscrito a su favor, aquellos documentos exigidos por la presente Orden para la valoración de bienes
inmuebles.
2. Una vez la entidad aseguradora haya aportado los documentos que correspondieran con arreglo al apartado anterior, la Dirección General de Seguros y Fondos de Pensiones ordenará la valoración del inmueble o derecho real inmobiliario, que se atendrá a las normas previstas en el Título II, capítulo II de esta Orden y, además, a las siguientes:
a) Las entidades aseguradoras deberán dar las máximas facilidades para llevar a cabo la citada valoración.
En caso contrario, se procederá por el técnico actuante a levantar diligencia de constancia de hechos, y la Dirección General de Seguros y Fondos de Pensiones podrá declarar el inmueble o el derecho real inmobiliario no apto para la cobertura de provisiones técnicas.
b) Si durante la tramitación del expediente de valoración se apreciase que el inmueble o derecho real inmobiliario careciera de alguno de los
requisitos de aptitud para cubrir provisiones técnicas, la Dirección General de Seguros y Fondos de Pensiones, mediante acuerdo motivado, declarará
el inmueble o derecho real inmobiliario no apto para la cobertura de dichas provisiones sin perjuicio de la interposición de los recursos que procedieran contra el acuerdo anterior.
c) El técnico actuante elevará al Director General de Seguros y Fondos de Pensiones un informe de valoración que, sin necesidad de ceñirse a la
estructura y contenido previstos en el Título III, deberá ajustarse a los criterios y a los métodos de cálculos de valores de tasación establecidos en esta Orden.
d) Efectuada la valoración, se dará traslado a la entidad aseguradora del acuerdo en el que se fije el valor del inmueble o derecho real inmobiliario a efectos de cobertura de las provisiones técnicas y del informe elaborado por el técnico actuante que motive el acuerdo, con indicación del recurso que cupiese interponer contra dicho acuerdo.
e) Si el inmueble estuviese sometido al régimen de propiedad horizontal, el capital asegurado en la póliza de seguro contra el riesgo de incendios y otros daños deberá figurar individualizado. Si a la vista del valor de la construcción que figure en el informe de valoración se apreciara en el
seguro una situación de infraseguro, la entidad aseguradora deberá de inmediato proceder a subsanarlo. Una vez subsanado podrá computar el
inmueble por el valor fijado en el acuerdo de la Dirección General de Seguros y Fondos de Pensiones.
Artículo 81. Valoración realizada por entidad tasadora autorizada.
1. La entidad aseguradora propietaria del inmueble o del derecho real inmobiliario deberá remitir a la Dirección General de Seguros y Fondos de Pensiones, en el plazo de un mes desde la fecha de emisión del informe de tasación escrito firmado por el representante legal de la aseguradora en el que se haga constar la identificación registral del inmueble, la razón social de la entidad tasadora autorizada que hubiese realizado la
valoración, el valor de tasación, la fecha de emisión del informe y certificado de tasación.
Al escrito se adjuntarán el informe y el certificado emitidos por la entidad tasadora autorizada que se ajustarán a lo dispuesto en la presente Orden, con las matizaciones siguientes:
a) El informe deberá mencionar expresamente la fecha y el precio de adquisición del inmueble o del derecho real inmobiliario y los importes de
las obras que se hubiesen realizado desde la anterior valoración, en su caso.
b) Como anexos al informe de tasación deberán figurar los recogidos en el artículo 80.1 (Valoraciones realizadas por los Servicios Técnicos de la
Dirección General de Seguros y Fondos de Pensiones) de esta Orden.
c) El informe contendrá el valor mínimo a cubrir por la póliza de seguro de incendios y otros daños al continente.
2. Cuando las valoraciones efectuadas por entidad tasadora autorizada sean objeto de comprobación por la Dirección General de Seguros y Fondos de Pensiones, sus Servicios Técnicos aplicarán las normas correspondientes mencionadas en el artículo 80.2 (Valoraciones realizadas por los Servicios Técnicos de la Dirección General de Seguros y Fondos de Pensiones) de esta Orden.
3. La Dirección General de Seguros y Fondos de Pensiones podrá elaborar y suministrar un modelo de certificado con la finalidad de hacer uniforme la forma de presentación y ordenar su contenido.
Artículo 82. Normas complementarias.
1. Las entidades aseguradoras comunicarán a la Dirección General de Seguros y Fondos de Pensiones cualquier incidencia que pudiera alterar el valor de los inmuebles y de los derechos reales inmobiliarios, o las circunstancias que pudieran afectar a los requisitos de aptitud para cobertura de provisiones técnicas de los mismos en el plazo de un mes, a partir de la fecha en que tuvieran conocimiento de ello. A la vista de lo cual, la
Dirección General de Seguros y Fondos de Pensiones podrá acordar de oficio la revisión del valor atribuido, o en su caso, la comprobación de los referidos requisitos.
2. La Dirección General de Seguros y Fondos de Pensiones podrá requerir tanto a la entidad aseguradora propietaria del inmueble y de los derechos reales inmobiliarios como a la entidad tasadora autorizada que hubiese emitido el informe las aclaraciones necesarias y la presentación de documentos distintos a los mencionados expresamente en la presente Orden si fuese preciso para verificar o revisar las circunstancias, cálculos y
valores incorporados al expediente, así como para comprobar que el inmueble o los derechos reales inmobiliarios cumplen los requisitos de aptitud para la cobertura de las provisiones técnicas. Si se apreciase la falta de alguno de éstos, procederá a declararlos no aptos para dicho fin.
3. El incumplimiento de los plazos previstos en el presente Título, para la remisión de cuantos datos o documentos que la entidad aseguradora deba suministrar a la Dirección General de Seguros y Fondos de Pensiones, se entenderá comprendido dentro de los supuestos del artículo 40 de la Ley 30/1995, de 8 de noviembre, de Ordenación y Supervisión de los Seguros Privados.
Artículo 83. Comprobación por la Dirección General de Seguros y Fondos de Pensiones de las valoraciones realizadas por entidades tasadoras autorizadas. Cuando la Dirección General de Seguros y Fondos de Pensiones acuerde comprobar la valoración realizada por entidades tasadoras autorizadas, lo comunicará por escrito a la entidad aseguradora titular del inmueble o del derecho real inmobiliario.
Ambas entidades deberán entregar la documentación que les sea solicitada y dar las máximas facilidades para realizar la citada comprobación. De las comprobaciones que efectúen los Servicios Técnicos de la Dirección General de Seguros y Fondos de
Pensiones se elevará a ésta informe de acuerdo con los términos en que se hubiese ordenado la valoración. A la vista del informe, la Dirección General de Seguros y Fondos de Pensiones podrá acordar la ratificación de la valoración inicial realizada por la entidad tasadora autorizada, la modificación de aquélla o, en su caso, la no aceptación de la misma cuando el informe se emita conteniendo alguna de las advertencias señaladas en
el artículo 11 (Advertencias generales) de esta Orden comunicará dicho acuerdo a la entidad aseguradora con expresión del recurso que proceda contra el mismo.
En el caso de que la Dirección General de Seguros y Fondos de Pensiones acordase modificar la valoración lo podrá comunicar igualmente a la entidad tasadora autorizada indicando los motivos que hubiesen concurrido y los criterios aplicados en la fijación del nuevo valor.
Artículo 84. Valoraciones posteriores a la inicial.
1. Las entidades aseguradoras solicitarán de los Servicios Técnicos de la Dirección General de Seguros y Fondos de Pensiones o de entidad tasadora autorizada la revisión de las valoraciones de los inmuebles de su propiedad y de los derechos reales inmobiliarios inscritos a su favor, una vez haya transcurrido un año desde la anterior valoración y antes de que hubiesen transcurrido tres. Excepcionalmente, la Dirección General de Seguros y Fondos de Pensiones podrá adelantar el plazo de los tres años, con carácter general o para determinada clase de inmuebles y derechos reales inmobiliarios, cuando por las especiales circunstancias que afectasen al mercado inmobiliario fuese necesario para evitar sobrevaloraciones de los inmuebles.
2. Las revisiones de los valores de los inmuebles y de los derechos reales inmobiliarios podrán hacerse de oficio o a instancia de las entidades aseguradoras.
3. La Dirección General de Seguros y Fondos de Pensiones podrá acordar de oficio, en cualquier momento, la revisión de las valoraciones atribuidas a los inmuebles y a los derechos reales inmobiliarios cuando estime que el importe de las mismas supere el valor que resulte de la aplicación de esta Orden.
4. Cuando la revisión hubiera de realizarse por los Servicios Técnicos de la Dirección General de Seguros y Fondos de Pensiones, bastará con remitir, salvo en caso de aplicarse el punto 80.2 de esta Orden, los documentos señalados en las letras b), e) e
i) del artículo 80.1 (Valoraciones realizadas por los Servicios Técnicos de la Dirección General de Seguros y Fondos de Pensiones) de esta Orden, así como los documentos previstos en las letras d) y j) del citado artículo, en los casos en que resulten de aplicación.
5. Si la revisión de la valoración se hubiese efectuado por entidad tasadora autorizada, será de aplicación lo dispuesto en el artículo 81 (Valoraciones realizadas por entidad tasadora autorizada) de esta Orden.
6. Cuando se trate de inmuebles en construcción o rehabilitación, la entidad aseguradora podrá incorporar a la valoración inicial el importe de las certificaciones al origen de las obras realizadas, y abonadas, sin incluir acopios ni mobiliarios, en cuyo caso presentará la documentación señalada en (la letra f) del artículo 80.1 (Valoraciones realizadas por los Servicios Técnicos de la Dirección General de Seguros y Fondos de
Pensiones) de esta Orden con el fin de justificar el aumento del valor. Una vez finalizadas las obras se presentará o se solicitará nueva valoración correspondiente al inmueble terminado.
Artículo 85. Normas complementarias de valoración.
1. Cuando los inmuebles o los derechos reales inmobiliarios se encuentren situados fuera de España, se aplicarán de forma análoga y teniendo en cuenta la legislación propia de cada Estado los criterios y normas de valoración contenidos en esta Orden.
2. Las comprobaciones de las tasaciones periciales de los inmuebles aportados como desembolso en los aumentos de capital social de las entidades aseguradoras previstas en el apartado 2.a) del artículo 27 del Reglamento de Ordenación y Supervisión de los Seguros Privados se llevarán a cabo con arreglo a lo dispuesto en la presente Orden.
3. En aquellos casos, en los que las plusvalías resulten de la infravaloración de bienes inmuebles y derechos reales inmobiliarios no aptos para cobertura de provisiones técnicas, la entidad aseguradora deberá ajustarse a lo dispuesto en esta Orden para justificar ante la Dirección General de Seguros y Fondos de Pensiones el importe de las mismas.
Artículo 86. Valor de afección provisional a cobertura de provisiones técnicas.
1. Cuando los inmuebles o los derechos reales inmobiliarios estén en trámite de inscripción en el Registro de la Propiedad, las entidades aseguradoras podrán afectarlos a cobertura de provisiones técnicas por sus precios de adquisición, siempre que exista un seguro de caución concertado con entidad aseguradora distinta a la titular del inmueble o un aval bancario por importe no inferior al valor de afección provisional a cobertura de provisiones técnicas asignado al inmueble. En el documento en que conste la garantía otorgada se consignará:
a) Entidad que emite el aval bancario o la póliza de seguro de caución y nombre y apellidos de quienes firman en nombre y representación de la misma.
b) Designación de la entidad aseguradora avalada o tomadora del seguro de caución.
c) Que el aval bancario lo constituyen solidariamente la entidad que lo otorga y la entidad propietaria del inmueble.
d) Que la garantía se constituye a favor y a disposición de la Dirección General de Seguros y Fondos de Pensiones.
e) Identificación de la finca registral que se afianza.
f) Finalidad del aval o póliza de seguro de caución, que se constituye a efectos de la afección provisional a cobertura de provisiones técnicas de los inmuebles pendientes de su inscripción en el Registro de la Propiedad, de acuerdo con lo dispuesto en el último párrafo del artículo 50.10 del
Reglamento de Ordenación y Supervisión de los Seguros Privados.
g) Cuantía a que asciende la garantía; vigencia a partir de la fecha de efecto del aval o seguro de caución y hasta el momento en que la Dirección
General de Seguros y Fondos de Pensiones autorice su cancelación; y constancia expresa de que se hará efectivo por requerimiento de ésta, sin
más requisito que en dicho requerimiento se haga constar que es por cualquiera de las causas que permiten la ejecución con arreglo a este precepto.
h) Fecha de efecto y firmas de los apoderados debidamente legitimadas.Los avales deberán ser autorizados por apoderados de la entidad avalante, con
poder suficiente para obligarla plenamente.
2. Una vez inscrito el inmueble a nombre de la entidad aseguradora o el derecho real a su favor en el Registro de la Propiedad, se procederá a la valoración del inmueble o del derecho real inmobiliario por alguno de los cauces previstos en los artículos 80 (Valoraciones realizadas por los Servicios Técnicos de la Dirección General de Seguros y Fondos de Pensiones) y 81 (Valoraciones realizadas por entidad tasadora autorizada) de
esta Orden y se solicitará a la Dirección General de Seguros y Fondos de Pensiones la cancelación del aval o el vencimiento del seguro de caución concertados como garantía. A tal efecto, la Dirección General de Seguros y Fondos de Pensiones efectuará las oportunas notificaciones tanto a la entidad aseguradora propietaria del inmueble o del derecho real inmobiliario como a las que ofreciera la garantía. No obstante, si se apreciara que el inmueble o el derecho real inmobiliario no cumple los requisitos precisos para ser apto para cobertura de provisiones técnicas, la Dirección General de Seguros y Fondos de Pensiones lo declarará no apto para dicho fin y, en el caso de que fuera necesario para mantener cubiertas las provisiones técnicas de la entidad, podrá proceder a la ejecución de la garantía.
3. Una vez el inmueble o el derecho real inmobiliario hubiese sido valorado por alguno de los cauces previstos en los artículos 80 (Valoraciones realizadas por los Servicios Técnicos de la Dirección General de Seguros y Fondos de Pensiones) y 81 (Valoraciones realizadas por entidad tasadora autorizada) de esta Orden, para lo cual habrá de estar previamente inscrito a nombre de la enti dad aseguradora en el Registro de la Propiedad, se atenderá al valor resultante de la tasación, que deberá ajustarse a lo dispuesto en la norma séptima del presente Título.
4. El período de afección provisional no podrá exceder del plazo de un año.
Artículo 87. Créditos hipotecarios.
1. La inclusión de un crédito hipotecario como apto para la cobertura de provisiones técnicas en la documentación estadístico-contable, información trimestral o en cualquier estado de cobertura de provisiones técnicas que se presente en la Dirección General de Seguros y Fondos de Pensiones exigirá que dicho crédito hipotecario cumpla los requisitos de aptitud previstos en el artículo 50.11 del Reglamento de Ordenación y Supervisión de los Seguros Privados en la fecha a la que se refieren los cálculos contenidos en el documento presentado y que el inmueble hipotecado haya sido valorado conforme a las normas e instrucciones de valoración recogidas en esta Orden para la finalidad 2.a) de la misma.
2. En la escritura de préstamo hipotecario deberá constar que el deudor hipotecario consiente el acceso de los Servicios Técnicos de la Dirección General de Seguros y Fondos de Pensiones para realizar la valoración del inmueble o para comprobar la que se hubiese realizado.
3. La póliza de seguro de incendios y otros daños al continente del inmueble incluirá una cláusula de subrogación en la que figurará como beneficiaria la entidad acreedora hipotecaria. Dicha póliza de seguro deberá estar concertada con entidad aseguradora distinta de la beneficiaria de la misma.
CAPÍTULO II
Determinación del patrimonio de las instituciones de inversión colectiva inmobiliarias
Artículo 88. Disposiciones especiales.
A los efectos de la finalidad contemplada en el artículo 2.c de esta Orden:
a) Se exigirá además de lo señalado en esta Orden cualquier otra documentación que sea exigida en función de la normativa específica.
b) Si existiesen condicionantes al valor de tasación, la sociedad gestora o la sociedad de inversión deberá facilitar a la sociedad de tasación, en el plazo de diez días hábiles, la información necesaria y la realización de las comprobaciones mínimas que permitan la supresión de los condicionantes.
c) Cuando las tasaciones previas a la compra de inmuebles por parte de las instituciones de inversión colectiva inmobiliaria expresen un valor condicionado, la institución no podrá comprar el inmueble en cuestión en tanto no se hayan resuelto las causas que originaron dicha circunstancia y así lo haya certificado la sociedad tasadora.
Disposición adicional primera. Seguro de incendio y otros daños al continente.
1. La suma asegurada a efectos del artículo 50.10.g) del Real Decreto 2486/1998, de 20 de noviembre, no será inferior a:
a) En el caso de edificios completos, el menor entre el valor de reemplazamiento bruto de la edificación y el valor de tasación, excluyendo en ambos casos el valor del terreno.
b) En el caso de elementos de edificios, al valor de tasación del elemento, excluido el valor del terreno.
2. La suma asegurada a efectos del artículo 30 del Real Decreto 685/1982, de 17 de marzo, no será inferior a la cantidad resultante de restar del valor de reemplazamiento bruto del edificio o elemento del edificio objeto de valoración el valor del terreno en el que se encuentra.
Disposición adicional segunda. Mecanismos de control interno.
Para el cumplimiento de los objetivos previstos en el artículo 3.1.e) (Mecanismos de control interno) del Real Decreto 775/1997, de 30 de mayo, sobre Régimen Jurídico de homologación de los servicios y sociedades de tasación, dichas sociedades y servicios deberán disponer de unos procedimientos que permitan asegurar:
1. El adecuado conocimiento del mercado inmobiliario sobre el que han de operar, para lo cual dispondrán, como mínimo, de:
a) Una base de datos de información de costes y precios (en venta y en alquiler) y de características de los inmuebles, suficiente en número,
tipología y localización adecuadamente distribuida dentro del área geográfica en la que la entidad pretenda operar.
b) Datos actualizados de información estadística o de otra índole (subastas, precios de materiales, etc.) que sean utilizables para la tasación.
c) Procedimientos de actualización de los datos recogidos en las dos letras anteriores.
d) Las fuentes concretas de los datos anteriores.
e) La metodología utilizada en el tratamiento de los datos anteriores.
f) Los canales de transmisión de dichos datos a sus profesionales y el sistema de utilización de los mismos en las tasaciones.
2. El cumplimiento uniforme de las normas de valoración aplicables, para lo cual deberá disponer de un manual de procedimiento, debidamente actualizado, en el que, al menos, se recojan:
a) Los criterios concretos para la aplicación de dichas normas, detallando entre otros: los criterios de medición y atribuciones de uso de las
superficies; los parámetros y sistemas utilizados en la homogeneización de comparables; la forma de validación de testigos; la interpretación de la
documentación registral; los criterios para aplicar los condicionantes y advertencias en su caso; la forma de determinar la vida útil, y los tipos que la entidad utiliza para aplicar los métodos de actualización y residual; la forma de obtener el valor de los inmuebles neto de gastos e impuestos; la previsión de la tendencia futura del mercado; la justificación de las plusvalías y minusvalías a aplicar al valor de reversión del suelo y los criterios para identificar los elementos especulativos en las transacciones.
b) El sistema de control de calidad de las tasaciones y el modo de intervención en el mismo de los profesionales vinculados, así como los
criterios establecidos por la entidad para la intervención de profesionales especializados en la tasación de inmuebles dedicados a usos particulares.
c) El sistema de formación y actualización de conocimientos de sus profesionales, especificando si los vinculados realizan o no valoraciones.
3. El cumplimiento uniforme del régimen de las obligaciones e incompatibilidades previsto en el Real Decreto 775/1997 a cuyos efectos la información mínima disponible comprenderá la relación de personas físicas y jurídicas, para las que la sociedad o servicio de tasación no pueda realizar valoraciones por no poder mantener razonablemente una posición de independencia en menos cabo de la objetividad de la
tasación, así como los criterios utilizados para la confección de dicha relación.
También comprenderá la información solicitada por la entidad a sus profesionales para velar por el cumplimiento de las incompatibilidades de éstos y la frecuencia con la que se recabe.
Disposición adicional tercera. Información a rendir al Banco de España.
Las sociedades y servicios de tasación comunicarán al Banco de España, en la forma y con la periodicidad que el mismo establezca, información sobre las primas de riesgo y márgenes de beneficio a que se refieren los artículos 38.3 y 41 de esta Orden que vengan utilizando en su actividad, así como sobre cualquier otro parámetro técnico de carácter general que vengan utilizando regularmente en su práctica profesional para la aplicación de los diferentes métodos de tasación, y que el Banco de España considere relevante en orden a asegurar el cumplimiento uniforme de la normativa de valoración. La información agregada resultante de la información recibida de las entidades de tasación se comunicará a la Dirección General de Seguros y Fondos de Pensiones y de la Comisión Nacional del Mercado de Valores y se distribuirá entre las propias entidades de
tasación. Toda disposición que se dicte por el Banco de España de conformidad con lo previsto en el párrafo precedente lo será previo informe de la Dirección General de Seguros y Fondos de Pensiones y de la Comisión Nacional del Mercado de Valores.
Disposición adicional cuarta. Conservación de las tasaciones.
Las tasaciones de los últimos 5 ejercicios, que las entidades de tasación deben conservar en sus archivos de conformidad con lo previsto en el artículo 12.1 del Real Decreto 775/1997, de 30 de mayo, incluirán una copia completa de los informes de tasación y sus anexos, así como del certificado o certificados que los hayan sintetizado.
También contendrán la documentación utilizada para su elaboración o una referencia documental a la misma o al archivo público en que se encuentre.
La conservación a que se refiere el párrafo anterior podrá hacerse en papel, o por medios electrónicos en soporte duradero, siempre que esté asegurada la identificación de la entidad que la emite, su accesibilidad y su integridad para ulterior consulta.
Disposición adicional quinta. Revisiones periódicas.
El tipo de interés y las tablas actuariales utilizados en los cálculos para determinar el valor del derecho de uso y habitación podrán ser revisados periódicamente por la Dirección General de Seguros y Fondos de Pensiones.
Disposición transitoria única. Primas de riesgo y márgenes de beneficio.
Durante los tres primeros años, contados a partir de la fecha de entrada en vigor de la presente Orden, las primas de riesgo a que se refiere el artículo 38.3 y los márgenes de beneficio del promotor indicados en el artículo 41 no podrán ser inferiores a los que se establecen en las tablas que, para cada uno de ellos, se indican a continuación, o a los que resulten de su revisión conforme a lo previsto en el último párrafo de esta disposición:
Cuando se tenga en cuenta la financiación ajena, los márgenes sin financiación señalados deberán ser modificados en función del porcentaje de dicha financiación (grado de apalancamiento) atribuida al proyecto y de los tipos de interés habituales del mercado
hipotecario.
La Dirección General del Tesoro y Política Financiera, previo informe de la Dirección General de Seguros y Fondos de Pensiones, del Banco de España y de la Comisión Nacional del Mercado de Valores, podrá prorrogar la ampliación de lo dispuesto en el primer párrafo de la presente disposición, por períodos sucesivos de un año, sin exceder de un total de tres, excepto para la finalidad b), para la que dicha prórroga
podrá ser por tiempo indefinido. Por el mismo procedimiento previsto en el párrafo precedente se podrá revisar, cada dos años, las primas de riesgo y márgenes contenidos en dichas tablas, tomando como criterios básicos la evolución del mercado inmobiliario, y los tipos de interés de la
deuda pública a largo plazo, el índice de precios al consumo o cualquier otro factor que a juicio de dichos organismos influya en su valor.
Disposición derogatoria única. Derogación normativa. Se deroga la Orden de 30 de noviembre de 1994 sobre normas de valoración de
bienes inmuebles para determinadas entidades financieras.
Disposición final primera. Habilitación a la Comisión Nacional del Mercado de Valores.
Se habilita a la Comisión Nacional del Mercado de Valores para dictar las disposiciones necesarias para el desarrollo de esta Orden, a efectos de su aplicación para la finalidad contemplada en el artículo 2.c).
Disposición final segunda. Habilitación a la Dirección General del Tesoro y Política Financiera.
La Dirección General del Tesoro y Política Financiera, por motivos de prudencia y comparabilidad valorativa y previo informe de la Dirección General de Seguros y Fondos de Pensiones, del Banco de España y de la Comisión Nacional del Mercado de Valores, podrá establecer un límite cuantitativo a la plusvalía anual utilizable a efectos del ajuste previsto en el artículo 31 de esta Orden.
Disposición final tercera. Entrada en vigor. La presente Orden entrará en vigor a los seis meses de su publicación íntegra en el Boletín Oficial del Estado. No obstante, desde su publicación y hasta su entrada en vigor, las tasaciones podrán también realizarse conforme a la presente Orden.
Madrid, 27 de marzo de 2003.
DE RATO Y FIGAREDO
Excmo. Sr. Gobernador del Banco de España.
Ilmo. Sr. Presidente de la Comisión Nacional Del Mercado de Valores.
Ilmo. Sr. Director general de Seguros y Fondos de Pensiones.
Ilma. Sra. Directora general del Tesoro y Política Financiera.




